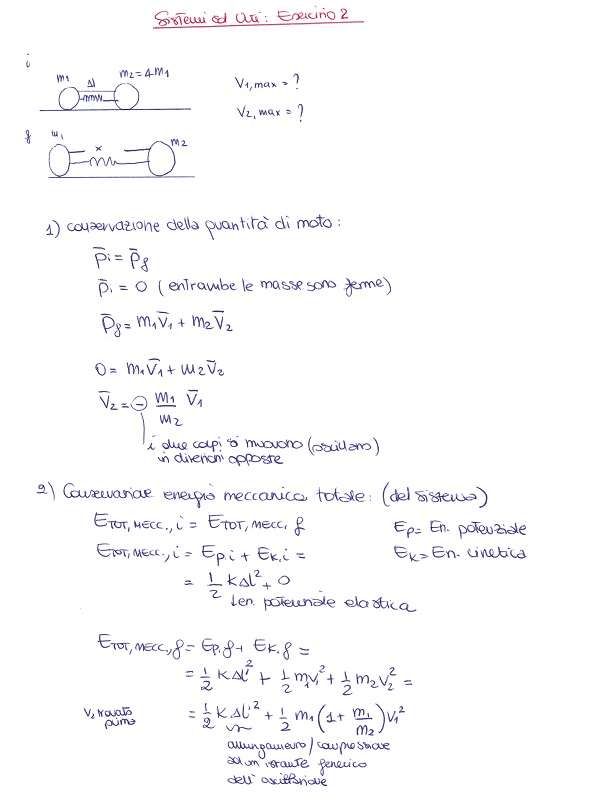
Una molla di costante elastica k, tiene legati due corpi di massa m1 e m2 = 4m1. I due corpi sono appoggiati su di un piano liscio. La molla è inizialmente compressa di un tratto Δl con un filo. Ad un certo punto il filo viene tagliato e i due corpi sono quindi liberi di oscillare. Calcolare le velocità massime raggiunte dai due corpi.


io non ho capito il ragionamento che lei ha seguito per risolvere l’ esercizio.
le chiedo se getilmente può spiegarmi passaggio per passaggio come lo ha risolto, nel modo più dettagliato possibile. Grazie
Mi scusi, qual’ è stata la diferenza nell’ aver supposto l’ allungamento della molla uguale a 0 ?
ci serve perche’ e’ il punto dove la velocita’ e’ massima! questo conceto e’ spiegato bene nelle dispense del moto armonico