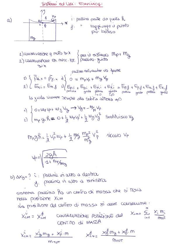
Una guida liscia di massa mg è ferma ed appoggiata su di un piano orizzontale a sua volta liscio. Una pallina puntiforme di massa mp è sulla guida e può scivolare da un punto ad un’altezza h rispetto al fondo della guida e a distanza orizzontale l rispetto al centro della guida stessa.
a) Quanto vale la velocità della pallina nel punto più basso della guida?
b) Quanto vale lo spostamento della guida quando la pallina è alla massima altezza sul lato opposto della guida a cui è partito?


Nell’ultima parte Xg associato alla massa mp è costante quindi può essere semplificato, non varia tra inizio e fine. O sbaglio?
Nel secondo punto la formula massa per spostamento da cosa si ricava? Non ho mai sentito parlare in nessun testo di fisica di conservazione della posizione del centro di massa, al massimo posso usare la conservazione della quantità di moto e vedo la velocità come derivata di dx/dt con x lo spostamento e da qui ricavo lo spostamento o sbaglio?
Ciao Gianna,
non è immediato da ricavare, puoi trovare la spiegazione qua!
https://matepratica.it/2015/03/perche-bisogna-ancorare-al-molo-le-navi-quando-i-passeggeri-scendono-2.html
buono studio!
scusi, ma quando mettiamo a confronto quantita di moto e energia meccanica, la vg che mettiamo in evidenza è vg iniziale che sostituisce la vg finale o sbaglio?
Vg è la velocità della guida finale cioè quando la pallina si trova nel punto più basso.
Nel passaggio in cui mettiamo a sistema la conservazione della quantità di moto e la conservazione dell’energia meccanica totale, non occorrerebbe tenere conto del fatto che l’equazione per la conservazione della quantità di moto fornisce un’informazione relativa a due velocità diverse rispetto a quelle con cui ciascun oggetto si muove in ogni istante?
Nel punto piu’ basso della guida, la pallina avrà verosimilmente aumentato la sua velocità iniziale (idem la guida).
In quel punto di inversione del moto, non sono le due velocità uguali in modulo?
Quando le metto a sistema, fisso due punti temporali ben precisi. Quello che ho chiamato iniziale e finale. Per entrambe le equazioni valuto le velocita’ a quell’istante.
A priori fissiamo le velocita’ come incognite…e dai calcoli troviamo che non sono uguali! Vedi dalla formula 1 che sarebbero uguali solo nel caso in cui la massa della pallina fosse uguale alla massa della guida.
Ma la guida non é ferma?
No. La guida puo’ muoversi!