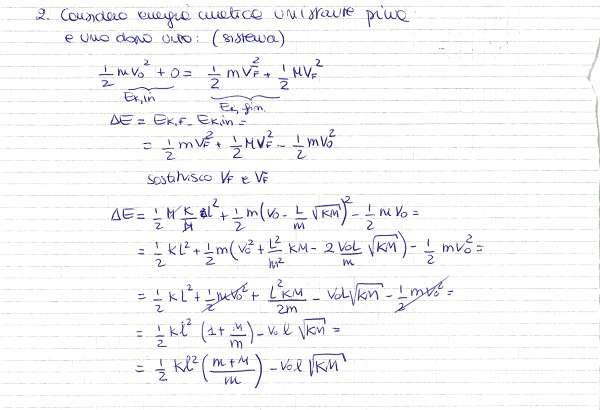
Una pallottola di massa m e velocità iniziale Vo, attraversa un blocco di legno di massa M. Il blocco è inizialmente in quiete sul piano orizzontale liscio ed è connesso ad una molla di costante elastica k. Se il blocco dopo l’urto si muove di un tratto L,
a) quanto vale la velocità Vf con cui il proiettile esce dal blocco stesso?
b) quanto vale l’energia dissipata nell’urto?


Errore nell’energia dissipata, credo vadano cambiati i segni in accorso con l’esercizio 5
S^ io mi sono fermata al calcolo della variazione di energia. Quando questo delta viene negativo vuol dire che l’energia finale è più piccola dell’iniziale e c’è quindi energia dissipata. il suo valore è il modulo del delta!
salve, quando si calco la dissipazione di energia, oltre all’energia cinetica iniziale, quella del proiettile e del cubo di legno, non va messa anche quella elastica?
inoltre nel procedimento che avete fatto nella dissipazione,
essendo un istante appena prima e un istante appena dopo l’urto è come se la lunghezza della molla non fosse ancora cambiata
Temo di non capire: la situazione iniziale è la molla a riposo prima dell’arrivo del proiettile. La finale è la molla compressa, con energia potenziale elastica maggiore. E poi, matematicamente parlando, se delta_l<0, (delta_l)^2 sarà sempre maggiore di 0.
La molla è a riposo: si trova in l0- Quando è compressa si trova più a destra e siccome in figura è indicato lo zero, il valore di l quando la molla è compressa è èiù piccolo perchè è “più vicino” allo zero del potenziale. In questo senso ho potenziale minore e davanti al termine di potenziale ci va il meno
Non capisco come mai l’energia potenziale elastica ha segno negativo
Perche’ in base a come si e’ preso lo zero del potenziale, l’energia potenziale e’ piu’ piccola