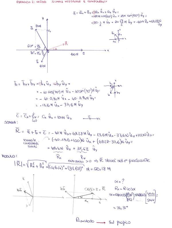
Le tre forze , agiscono sul punto O come indicato in figura. Trovare la forza risultante in modulo, verso e direzione. Trovarne anche le componenti su x e y.
3 thoughts on “Vettori – Esercizio 2”
Scusate non ho capito i dati del problema, e di conseguenza lo svolgimento.
Potreste esprimere meglio il problema?
Scusate non ho capito i dati del problema, e di conseguenza lo svolgimento.
Potreste esprimere meglio il problema?
Il testo dice che le tre forze agiscono come in figura. Quindi in figura ti vengono dati gli angoli come dato del problema.
Da cosa si deduce che gli angoli sono di 60, 70 e 0 gradi?