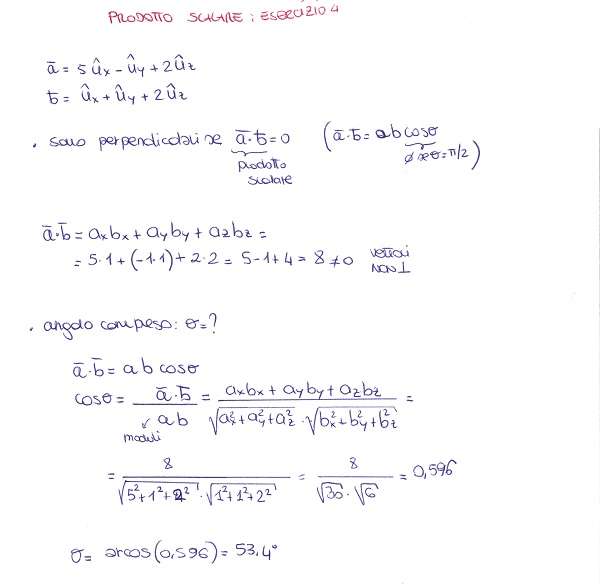
Vettori – Esercizio 4 Dati i due vettori a e b determinare se sono perpendicolari. In caso negativo, calcolare l’angolo compreso tra i due vettori.