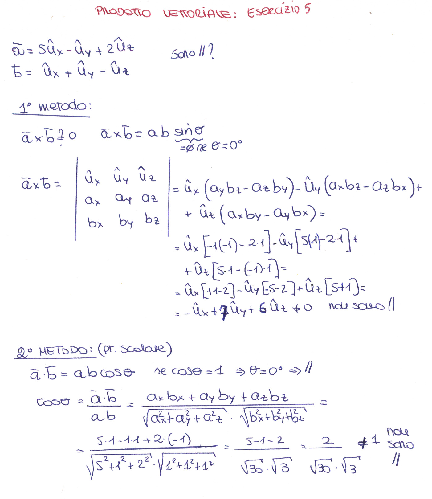
Vettori – Esercizio 5 Dati i due vettori a e b determinare se sono paralleli utilizzando almeno due metodi diversi.
Grazie mille ragazzi, abbiamo corretto!
Perche nella matrice nel calcolo di uy bz e’ positivo?non dovrebbe essere -1??
quoto, il calcolo del determinante della matrice è errato! il versore di Bz vale (-1)