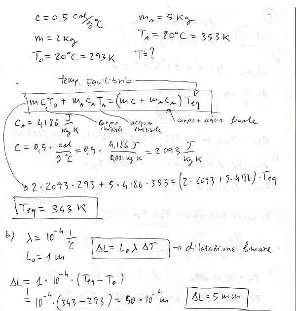
Un corpo avente calore specifico di 0.5 cal/(g °C), di massa 2 Kg e temperatura iniziale di 20°C è immerso in una massa d’acqua di 5 Kg alla temperatura di 80°C. a)Determinare la temperatura di equilibrio. b) Se il corpo è una sbarra di metallo con coefficiente di dilatazione termica pari a 10-4(°C)-1 che assume la lunghezza L0=1m alla temperatura iniziale, calcolare la variazione di lunghezza quando è stata raggiunta la temperatura di equilibrio.

Help!!
Su una leva di seconda specie costituita da una sbarra orizzontale di massa trascurabile e’ appoggiata una massa di 8kg a distanza d dal fulcro. a) Determinare d sapendo che il sistema è tenuto in equilibrio da una forza verticale di 9N applicata a 53.3m dal fulcro. b) Determinare anche la reazione vincolare del fulcro.
Un corpo ha la forma di una sfera di raggio 0.3m e densità pari a 0.550 g/cm3. a) Determinare la massa e il peso del corpo. b) Determinare la frazione di volume del corpo immerso in acqua.
Ciao, scusa potresti aiutarmi con questo problema?
Ad un condensatore piano, S=40 cm2 e d=1mm, è applicata una diff di pot dV=600V, trovare la carica Q nelle armature e l’energia immagazzinata.
Grazie mille!!
C = epsilon * S/d
e poi Q = C dV
Perfetto mi sfuggiva la conversione delle cal in J !!!
Grazie mille
Ciao Anonimo,
fai riferimento al passaggio in cui ho trasformato l’unità di misura del calore specifico del corpo da cal/(g*C) a J(Kg*K):
C e K hanno la stessa dimensione,
mentre 1 cal = 4,186 J ,
e 1 g = 0,001 Kg
Ottengo 2093 J(Kg*K) che è il calore specifico del corpo, nel sistema internazionale.
Ciao, grazie per questi esercizi che mi stanno salvando la vita! Avrei Perô una domanda: perchè il calore specifico dell’acqua risulta nei dati 4186 J/kgK e poi nel calcolo del calore specifico del corpo diventa 4,186/ 0,001 kg? Non mi trovo….
Ciao Anonimo,
se ti viene la temperatura in Joule hai sbagliato qualcosa: Joule è l’unità di misura dell’energia (lavoro, calore, etc.). A me viene Kelvin perchè ho usato nella formula tutte unità di misura del sistema internazionale: m, ma in Kg, C e Ca in J/(Kg*K), To e Ta in K.
ciao…facendo i calcoli mi trovo ke la temperatura di equilibrio è uguale a 0.343 J. Come hai fatto a trasformarli in kelvin?? grazie mille buona giornata
Un corpo di massa m1=2 kg scivola in virtù della sola forza peso lungo un piano inclinato di un angolo di 60° rispetto all’orizzontale. Dopo aver percorso 10 metri sul piano inclinato il corpo prosegue scivolando su un piano orizzontale dove urta una massa m2 che si muoveva con velocità pari a -6.58m/s. a) Quale deve essere il valore di m2 perché dopo l’urto, completamente anelastico, le due masse si arrestino? Considerare privo di attrito sia il piano inclinato sia il piano orizzontale. b) Se invece di urtare la seconda massa il corpo comprime una molla, determinare la costante elastica di quest’ultima ed il tempo impiegato a comprimerla sapendo che la compressione massima è di 26.3 cm.