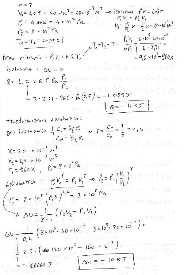
Due moli di gas perfetto occupano il volume di 40 l alla pressione di 4 atm. Sapendo che il gas raddoppia la sua pressione isotermicamente calcolare a) il calore scambiato durante la trasformazione b) calcolare la variazione di energia interna se il gas, supposto biatomico, dopo la compressione isoterma, raddoppia il volume mediante una trasformazione adiabatica.

salve a tutti! avevo una perplessità su quest esercizio..nella parte in cui viene richiesto di calcolare il calore e avete applicato la formula dove si calcola il logaritmo del rapporto tra presione finale e iniziale, come mai avete usato questa formula? e non quella con il rapporto del volume? qualcuno può spiegarmi come devo scegliere quale applicare? :D grazie a tutti e complimenti per il sito :D
e potresti mettere il grafico?
-URGENTE-Ma quel segno d’avanti a (0,5) cosa vuol dire?
R = 8,31 J/(K*mol) per tutti i gas. Inoltre Cp – Cv = R e il fatto che il gas sia monoatomico o biatomico fa variare solo Cv e Cp.
Due moli di gas perfetto “biatomico” occupano il volume di 40l alla pressione di 4atm.a) se il gas dimezza la sua pressione isotermicamente calcolare il calore scambiato durante la trasformazione….. Quando scrivo T1=4*40/ … dopo il diviso,cioè al denominatore,supposto che il gas è biatomico come devo scrivere? 2(num moli) per 5/2(per gas biatomico) e basta??? o devo aggiungere anche per 2(R costante xcalcolare DeltaQ) oppure 0,082?????