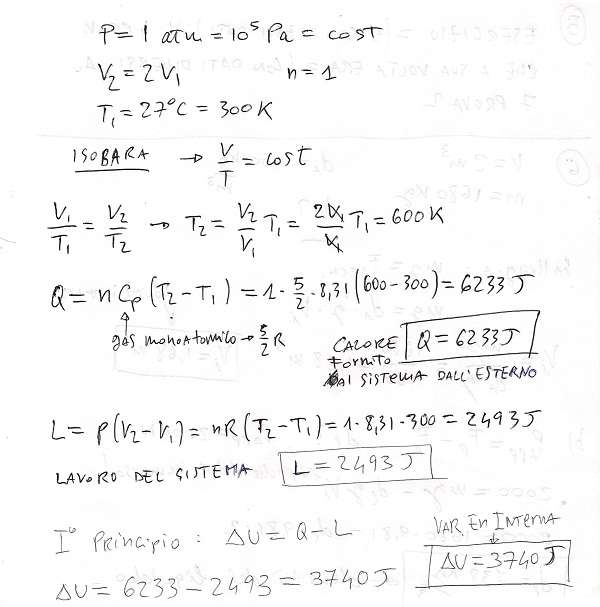
Una mole di gas perfetto monoatomico si espande alla pressione costante di 1 atm raddoppiando il volume. Dopo aver riscaldato il gas a pressione costante il volume del gas raddoppia. Determinare la quantità di calore scambiato, il lavoro svolto e la variazione di energia interna durante la trasformazione assumendo che la temperatura iniziale del gas sia di 27 °C.

scusi, non mi è chiara l’equazione che lei ha usato per calcolare il lavoro. In particolare a cosa corrisponde il numero 8.31??
Grazie per l’attenzione
La formula Delta U= Delta Q- Delta L
La formula DeltaU= Q-L
La formula U= Q-L
Sono la stassa cosa, cosa cambiatra le tre?