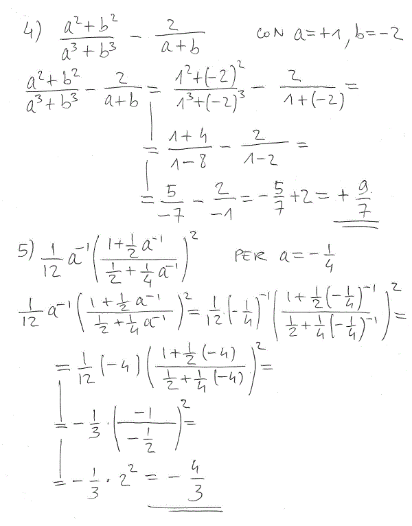
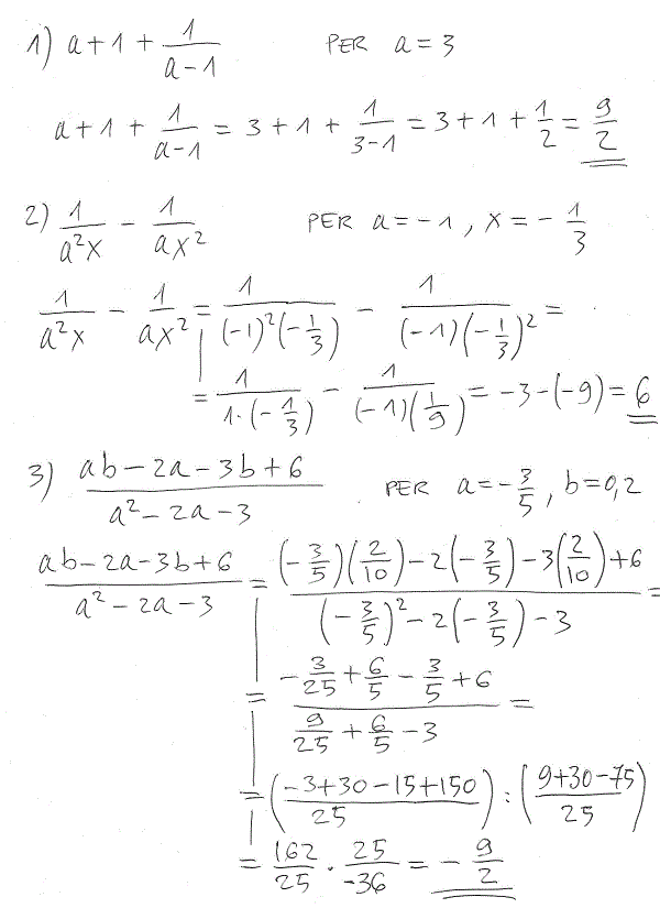
Espressioni letterali – Calcolo del valore numerico Calcolare il valore numerico delle seguenti espressioni algebriche attribuendo alle lettere i valori numerici segnati a fianco di ciascuna di esse:
Ciaooo mi serve aiuto con un’espressione….chi mi può aiutare?
Salve,mi potete aiutare? Urgente
5a-Buon