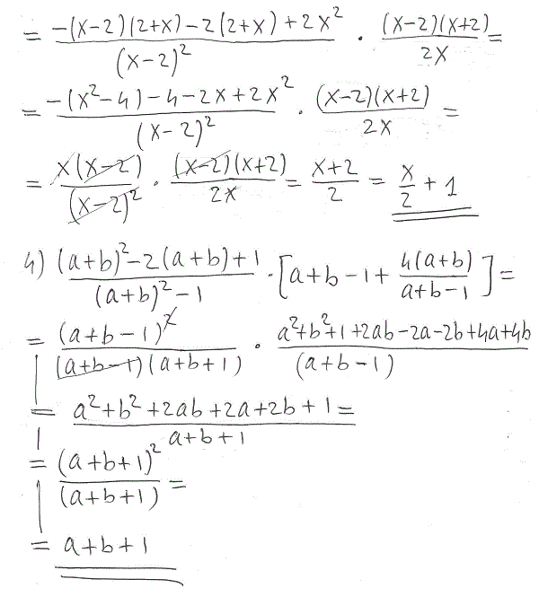
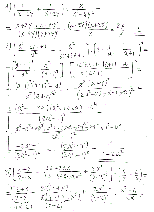
Semplificare le seguenti espressioni:
interessanti
l’ho fatte in 2 secindi ahahahhahah
ma come si fanno? non le capisco
Il tuo indirizzo email non sarà pubblicato. I campi obbligatori sono contrassegnati *
Commento *
Nome *
Email *
Sito web
Δ
interessanti
l’ho fatte in 2 secindi ahahahhahah
ma come si fanno? non le capisco