Ciao, come risolvo? (a-b)^2*(a+b)^2 Devo per forza svolgere i quadrati o posso semplificare in qualche modo? Rispondi
Sono tutti giusti?
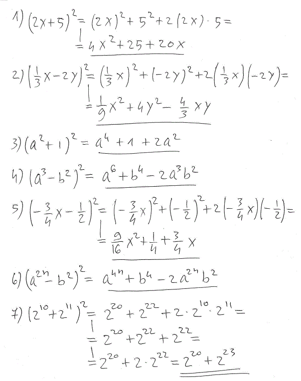
L’es 7 è sbagliato. La sol è:
Z^20 + Z^22 + 2Z^21
La 7 è corretta, a te manca solo da semplificare, verificalo con la calcolatrice
okè
ovviamente nell’esercizio 6 non è a alla 44esima, bensì alla 48esima. Giusto?
Aggiungete i passaggi, spiegate come svolgerli, cosi sono inutili.
Ciao, come risolvo?
(a-b)^2*(a+b)^2
Devo per forza svolgere i quadrati o posso semplificare in qualche modo?
l’esercizio 5 è sbagliato (
il calcolo della esercizio due e’ sbagliato perché (a-b)^2 è uguale a a^2+b^2-2ab
Per me la 2 è sbagliata.