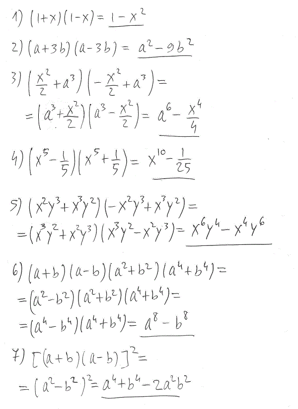
Prodotti notevoli – Somma per differenza Calcolare i seguenti prodotti tra la somma di due monomi e la loro differenza: