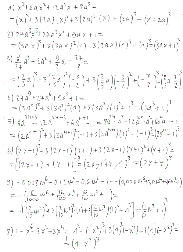
Trasformare i seguenti polinomi in cubi di binomi:
Il tuo indirizzo email non sarà pubblicato. I campi obbligatori sono contrassegnati *
Commento *
Nome *
Email *
Sito web
Δ