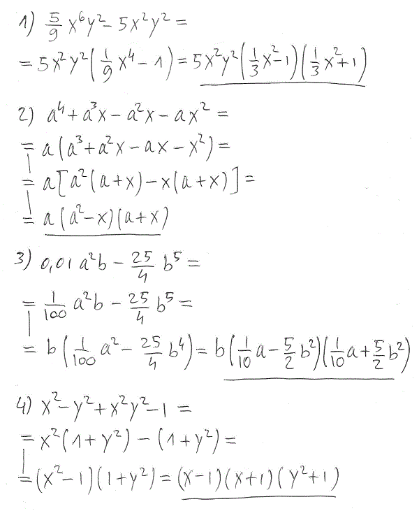
Scomporre in fattori i seguenti polinomi:
è un sito fantastico,molto utile devo dire
Il tuo indirizzo email non sarà pubblicato. I campi obbligatori sono contrassegnati *
Commento *
Nome *
Email *
Sito web
Δ
è un sito fantastico,molto utile devo dire