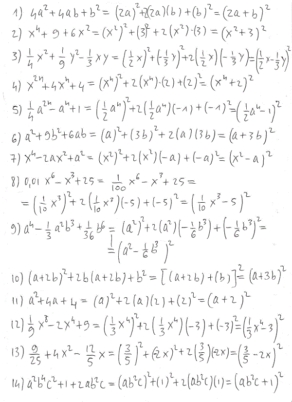
Nell’esercizio 2 il risultato é (x alla seconda + 3x) alla seconda. Manca la x nel 3 alla fine… Rispondi
Nell’esercizio 2 il risultato é (x alla seconda + 3x) alla seconda. Manca la x nel 3 alla fine…