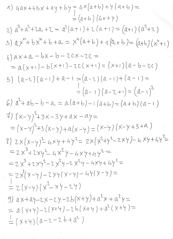
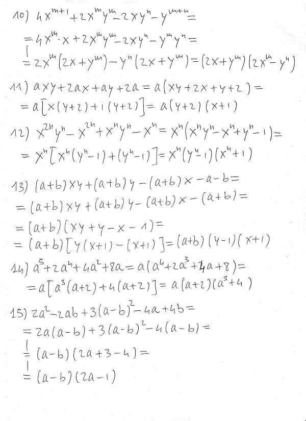
Scomposizioni – Raccoglimento parziale Scomporre in fattori i seguenti polinomi dopo aver eseguito dei raccoglimenti parziali:
Concordo, nell’esercizio 15 è sfuggito un (a-b) per cui il risultato finale è (a-b) (5a-3b-4) Rispondi
Al numero 15 manca (a-b) e il risultato finale sarebbe (a-b)(3a+b-1)
si
Concordo, nell’esercizio 15 è sfuggito un (a-b) per cui il risultato finale è (a-b) (5a-3b-4)
concordo che nel 15° è scomparso un (a-b)
Grazie di tutto, ma al numero 15 è scomparso un (a-b)^2 ?