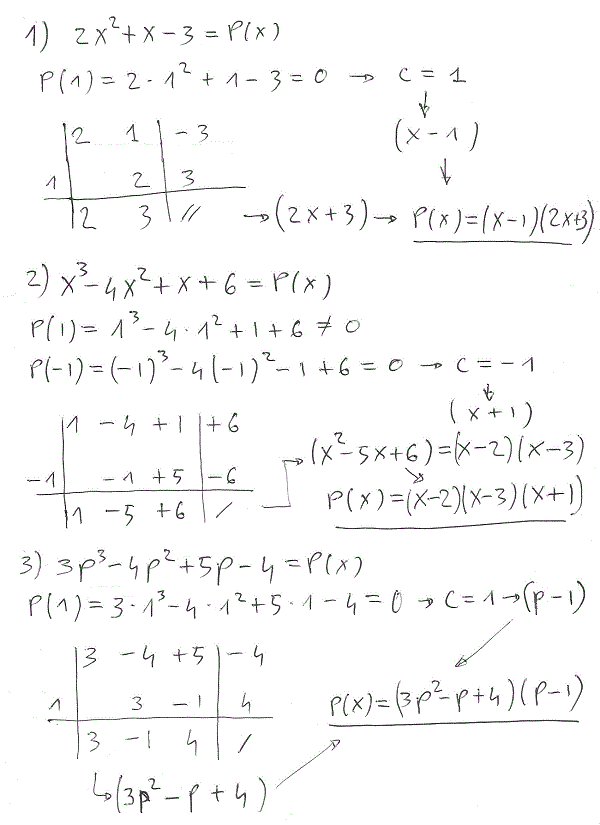
Scomposizioni – Regola di Ruffini Applicando il teorema del resto e la regola di Ruffini, scomporre in fattori i seguenti polinomi: