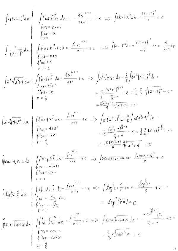
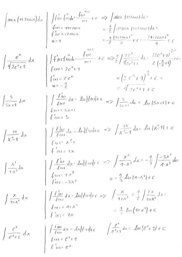
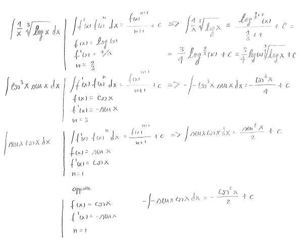
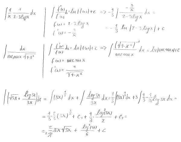
Calcolare i seguenti integrali indefiniti sfruttando integrali immediati, proprietà, e regola di derivazione di funzioni composte (ovviamente al contrario, visto che dobbiamo integrare):
63 thoughts on “Integrali indefiniti immediati 2”
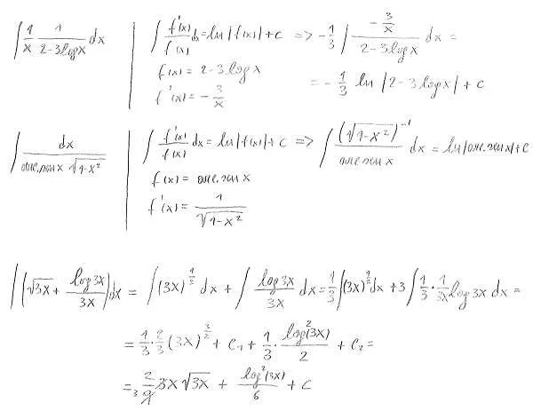
scusate non capisco l’ultimo integrale, log3x/3x fa 3? potete essere più chiari
Ha portato via da sotto la frazione il 3x e l’ha trasformato in 1/3x.
Io comunque non capisco il bilanciamento delle costanti in quell’esercizio (l’ultimo della lista). 1/3 d nella prima parte, 3 e 1/3 nella seconda… Potreste spiegarmi? Grazie
Scusate ma nel quinto esercizio, la derivata di sen(x) + 1 non dovrebbe essere -cos(x) ? Perchè nello svolgimento il coseno lo pone come se fosse positivo ?
Complimenti per il sito è davvero utile, continua così!!
no…il risultato corretto è quello riportato nella scheda, vai a studiare
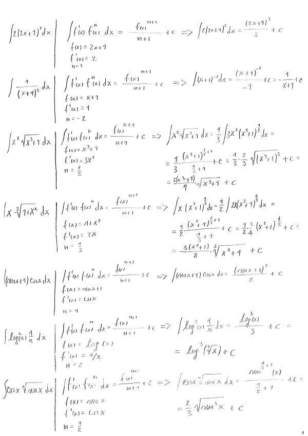
Caro albert, scusa il disturbo ma non capisco perchè nel 3 e 4 esercizio, rispettivamente la x alla seconda e la x dopo scompaiono al posto di 1/2 e 1/3. grazie in anticipo
Perchè la derivata di x^3 è 3x^2 quindi bisogna aggiungere un 3 (alla x^2), ma per poterlo aggiungere senza modificare l’integrale di partenza bisogna a sua volta toglierlo quindi fuori dall’integrale va aggiunto 1/3
Mi dispiace segnalare che molti degli integrali che hanno come risultato un log(f(x)) sono non corretti, in quanto andrebbero distinti i due intervalli di integrazione e percio’ la presenza di una doppia costante additiva, usare il valore assoluto non porta ad una soluzione corretta
ma se sono indefiniti come fanno ad avere intervalli di integrazione?
non riesco a capire perchè quando fai l’integrale ad esempio in quello dei logaritmi viene fuori 1/2 o /1/3 a seconda dei casi la mia domanda ma da dove lo ricavo?
ciao albert, ti volevo far notare che nell’ultimo esercizio hai effettuato il passaggio: -int(3x)^1/2 +int…= 1/3int(3x)^1/2+ int… la seconda parte, ok, ma la prima hai semplicemente diviso per 1/3 l’integrale senza moltiplicare per 3 all’interno di esso, o mi sfugge qualcosa?
Praticamente è la stessa cosa: bisogna riconoscere la funzione al denominatore e la sua derivata al numeratore
Sei un grande Albert! Grazie al tuo lavoro sono riuscito a capire come svolgere gli integrali, mi dispiace solo di avere scoperto il tuo sito e la tua pagina facebook solo da poco…
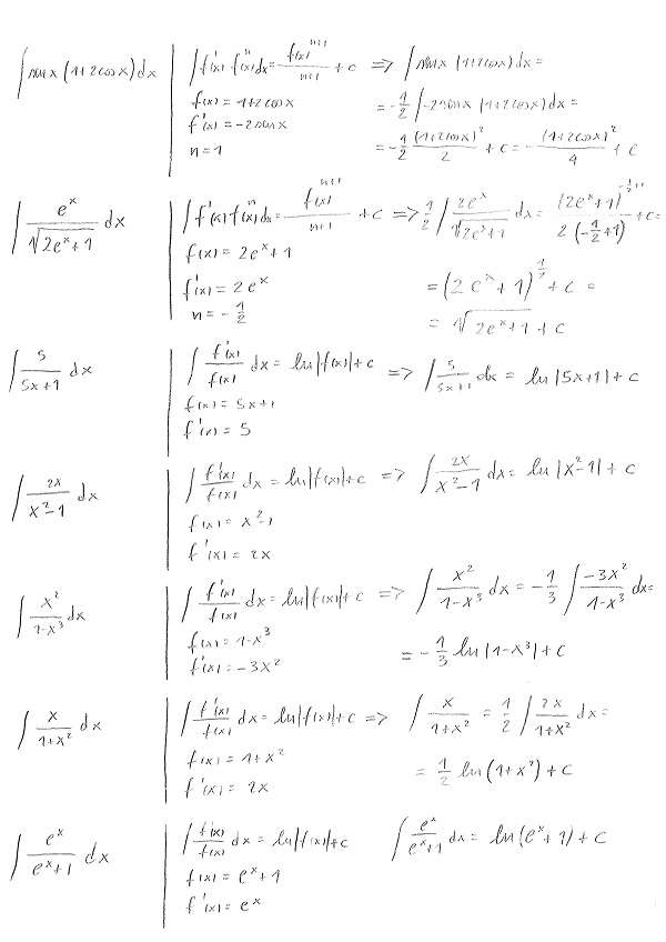
ciao! dal momento che mi sei sempre stato d’aiuto ti vorrei chiedere un’integrale che proprio non mi viene, è immediato quindi non si devono utilizzare i metodi di integrazione : int.indef[-2e^(-2x)-e^(-x)]/[e^(-2x)+e^(-x)]dx ti sarei molto grata se potessi essermi d’aiutoanche con questo. Grazie mille in anticipo ! ps complimenti per la pagina ! :)
ciao:D volevo cogliere l occasione per chiederti se gentilmente mi puoi aiutare con un integrale :) l integrale è questo (1/2x √logx +1/2x)dx la ringrazio in anticipo
Perchè è la derivata della funzione interna (quella che viene poi elevata alla (1/2). E’ stata quindi applicata la regola di derivazione delle funzioni composte
Buongiorno! Non mi è molto chiara la formula che applichi per la risoluzione dell’ultimo esercizio, potresti cortesemente commentarlo? Grazie mille!
Nell’ultimo integrale ho 1/(3x) che moltiplica ln(3x). Porto fuori l’ 1/3 (e qui moltiplicare e dividere per 3 come fatto nello svolgimento non serve a niente a dir la verità) e mi resta 1/x che moltiplica (ed è la derivata di) ln(3x). Ora posso vedere ln(3x) come (ln(3x))^1 e integrarla come potenza
ciao volevo sapere perchè,nella quarta pagina di esercizi ,come ricavi quei fattori da moltiplicare
moltiplico al numeratore e divido fuori dall’integrale per uno stesso fattore k che mi permette di avere al numeratore la derivata del denominatore
Scusami Albert, ma io davvero non comprendo con quale logica metti fuori dall’integrale quei fattori. Se io non porto fuori quei fattori non mi viene il risultato come il tuo.. E’ una convenzione?
Ciao! Volevo chiederti che passaggio fai nell’esercizio INT ln^2 1/x per arrivare al risultato ln^3 rad^3 x Io mi sono fermato al risultato ln^3x/3. Grazie!
ciao ,prima di svolgere l’esercizio scrivi sempre le formule, dove posso vedere le formule, per capire quale applicare ad ogni esercizio? perché sono diverse da quelle che insegnano a noi.grazie
Ciao Anonimo, il 9 e il 10 sono integrali di derivate di funzioni composte: possiamo vedere il 9 come integrale di sen(t) (ovvero -cos(t) come vedi nel risultato), con t=5x^2+3. Però abbiamo bisogno di vedere moltiplicata la funzione seno all’interno dell’integrale per la derivata della funzione interna t, ovvero 10x. La x ce l’abbiamo (e guai se no), ma abbiamo bisogno del coefficiente 10…quindi moltiplico e divido per 10, portanto fuori 1/10. Stessa cosa nel 5, dove la funzione esterna è radice terza, e la sua derivata 3/4 * rad3 di (2+5x^2)
Ciao Anonimo, no è giusto così, e la regola è sempre la stessa. Nel 18 però era meglio se visualizzavo l’ 1/2 all’interno dell’integrale: ricordo che 1/2 in questo caso rappresenta la derivata di 1/2 x al denominatore.
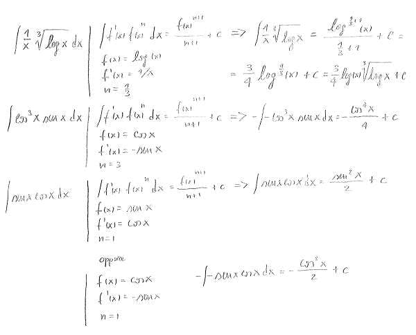
quando scrivo log (con l minuscola e non specifico la base) intendo logaritmo naturale (ln). Alcuni libri di testo (e anche io in questo caso) lo fanno. Ciao!
scusate non capisco l’ultimo integrale, log3x/3x fa 3? potete essere più chiari
Ha portato via da sotto la frazione il 3x e l’ha trasformato in 1/3x.
Io comunque non capisco il bilanciamento delle costanti in quell’esercizio (l’ultimo della lista). 1/3 d nella prima parte, 3 e 1/3 nella seconda… Potreste spiegarmi? Grazie
Scusate ma nel quinto esercizio, la derivata di sen(x) + 1 non dovrebbe essere -cos(x) ? Perchè nello svolgimento il coseno lo pone come se fosse positivo ?
scusate, ho confuso la derivata con l’integrale :(
integrale di (sinx+1)cosx dx il risultato corretto è ((sinx)^2)/2 + sinx poichè g(x)=sinx e f(x)=x+1
Complimenti per il sito è davvero utile, continua così!!
no…il risultato corretto è quello riportato nella scheda, vai a studiare
Caro albert, scusa il disturbo ma non capisco perchè nel 3 e 4 esercizio, rispettivamente la x alla seconda e la x dopo scompaiono al posto di 1/2 e 1/3. grazie in anticipo
Ciao Alberto scusa posso chiederti nel esercizio 3 da dove esce 1/3?:)
Perchè la derivata di x^3 è 3x^2 quindi bisogna aggiungere un 3 (alla x^2), ma per poterlo aggiungere senza modificare l’integrale di partenza bisogna a sua volta toglierlo quindi fuori dall’integrale va aggiunto 1/3
Mi dispiace segnalare che molti degli integrali che hanno come risultato un log(f(x)) sono non corretti, in quanto andrebbero distinti i due intervalli di integrazione e percio’ la presenza di una doppia costante additiva, usare il valore assoluto non porta ad una soluzione corretta
ma se sono indefiniti come fanno ad avere intervalli di integrazione?
non riesco a capire perchè quando fai l’integrale ad esempio in quello dei logaritmi viene fuori 1/2 o /1/3 a seconda dei casi la mia domanda ma da dove lo ricavo?
Ma nell’ultimo esercizio da dove esce 2/3x *radice di 3x? io mi trovo solo 2x * radice di 3x
Questo commento è stato eliminato dall’autore.
ciao albert, ti volevo far notare che nell’ultimo esercizio hai effettuato il passaggio:
-int(3x)^1/2 +int…= 1/3int(3x)^1/2+ int…
la seconda parte, ok, ma la prima hai semplicemente diviso per 1/3 l’integrale senza moltiplicare per 3 all’interno di esso, o mi sfugge qualcosa?
scusa, potresti risolvere l’int di x*tg^2 2x(integrale di x per tangente al quadro di due x) grazie
Sei il migliore!!!! Grazie mille!!
ciao,ma usare il metodo dei primi 2 fogli o il metodo degli ultimi 2 fogli con è la stessa cosa?o sono casi diversi?
Praticamente è la stessa cosa: bisogna riconoscere la funzione al denominatore e la sua derivata al numeratore
Sei un grande Albert! Grazie al tuo lavoro sono riuscito a capire come svolgere gli integrali, mi dispiace solo di avere scoperto il tuo sito e la tua pagina facebook solo da poco…
Un sincerissimo grazie! :-)
Grazie a te del commento, caro Riccardo!
ciao scusa mi potresti spiegare come sei arrivato a trovare il risultato del esercizio 4?grazie mille!!!
quale passaggio non ti è chiaro?
ciao albert nell’esercizio 2 e 3 non ho capito bene da dove saltano fuori 1/2 e 1/3…
grazie e complimenti per il sito :)
ciao albert …
potresti risolvere quest’integrale :
int.ind. di 1 fratto radice quadra di (4x^2-2x+1)
grazie
è addirittura un arcoseno iperbolico: http://ow.ly/ikWPu
non ho idea di come si risolva :)
Complimenti per il sito, mi è molto di aiuto,e leggendo i commenti ho avuto ulteriori chiarimenti sugli esercizi.
Sito da consigliare ai colleghi di università :)
Grazie Peppe!
ciao! dal momento che mi sei sempre stato d’aiuto ti vorrei chiedere un’integrale che proprio non mi viene, è immediato quindi non si devono utilizzare i metodi di integrazione :
int.indef[-2e^(-2x)-e^(-x)]/[e^(-2x)+e^(-x)]dx
ti sarei molto grata se potessi essermi d’aiutoanche con questo. Grazie mille in anticipo !
ps complimenti per la pagina ! :)
è un integrale immediato: al numeratore hai la derivata del denominatore, quindi il risultato è:
ln|e^(-2x)+e^(-x)| +C
Ciao Albert. Ma nel primo integrale è possibile che tu ti sia dimenticato del 2 ? Non capisco perchè non compaia nel risultato finale..
Grazie
è la derivata della funzione interna: se vedi la formula di derivazione delle funzioni composte ti accorgi che non compare nel risultato finale
pensavo che la derivata di ln(3x) fosse 3/x ovvero 1/x per 3. Forse è per questo che hai moltiplicato per 1/3..
ciao:D volevo cogliere l occasione per chiederti se gentilmente mi puoi aiutare con un integrale :) l integrale è questo (1/2x √logx +1/2x)dx
la ringrazio in anticipo
Ciao,
int ( 1/(2x) rad(ln(x)) + 1/(2x) ) dx =
1/2 int 1/x (ln(x))^(1/2) + 1/2 int 1/x dx =
1/2 2/3 (ln(x))^(3/2) +1/2 ln(x) +C =
1/6 ln(x) (2rad(ln(x)) +3) +C
Scusa, potresti dirmi xkè nel terzo esercizio, dopo che moltiplichi con 1/3, 3x^2 scompare? Succede la stessa cosa nell’esercizio successivo :)
Perchè è la derivata della funzione interna (quella che viene poi elevata alla (1/2). E’ stata quindi applicata la regola di derivazione delle funzioni composte
Buongiorno! Non mi è molto chiara la formula che applichi per la risoluzione dell’ultimo esercizio, potresti cortesemente commentarlo? Grazie mille!
Nell’ultimo integrale ho 1/(3x) che moltiplica ln(3x). Porto fuori l’ 1/3 (e qui moltiplicare e dividere per 3 come fatto nello svolgimento non serve a niente a dir la verità) e mi resta 1/x che moltiplica (ed è la derivata di) ln(3x). Ora posso vedere ln(3x) come (ln(3x))^1 e integrarla come potenza
ciao volevo sapere perchè,nella quarta pagina di esercizi ,come ricavi quei fattori da moltiplicare
moltiplico al numeratore e divido fuori dall’integrale per uno stesso fattore k che mi permette di avere al numeratore la derivata del denominatore
Scusami Albert, ma io davvero non comprendo con quale logica metti fuori dall’integrale quei fattori. Se io non porto fuori quei fattori non mi viene il risultato come il tuo.. E’ una convenzione?
puoi spiegarmi l’ultimo?
Quale passaggio non ti è chiaro?
L’integrale di log(3x)*(1/3x)
Ciao! Volevo chiederti che passaggio fai nell’esercizio
INT ln^2 1/x
per arrivare al risultato ln^3 rad^3 x
Io mi sono fermato al risultato ln^3x/3.
Grazie!
1/3 può andare all’esponente dell’argomento e diventa
((lnx)^3)/3=
=1/3 ((lnx)^3)=
=(lnx^(1/3))^3
Ciao,
in questa batteria di esercizi le formule usate mi pare siano specificate… A quali formule ti riferisci quando dici che a te ne hanno insegnate altre?
ciao ,prima di svolgere l’esercizio scrivi sempre le formule, dove posso vedere le formule, per capire quale applicare ad ogni esercizio? perché sono diverse da quelle che insegnano a noi.grazie
Grazie a te del commento, buono studio! ;)
Grazie tante Albert, questo sito mi sta dando una grande mano nel preparare l’esame…
Sei un grande :-)
Il tuo risultato è giusto: il calcolatore ti da una forma equivalente ma più complicata.
Ciao Albert.
Volevo chiederti se puoi risolvere un integrale. Sarà banale, ma sto iniziando adesso. E’ il seguente:
INT cosx(senx+1)^3 dx
A me viene: [(senx+1)^4]/4 +c, ma sul calcolatore di integrali online da tutt’altro risultato, del tipo:
(cosx*sinx^3+3*cosx*sinx^2+3*cosx*sinx+cosx)*x
Dammi una mano se puoi :-)
Molte grazie. mi hai aiutato molto a prepararmi per l’esame :-)
Ciao Anonimo,
il 9 e il 10 sono integrali di derivate di funzioni composte: possiamo vedere il 9 come integrale di sen(t) (ovvero -cos(t) come vedi nel risultato), con t=5x^2+3. Però abbiamo bisogno di vedere moltiplicata la funzione seno all’interno dell’integrale per la derivata della funzione interna t, ovvero 10x. La x ce l’abbiamo (e guai se no), ma abbiamo bisogno del coefficiente 10…quindi moltiplico e divido per 10, portanto fuori 1/10.
Stessa cosa nel 5, dove la funzione esterna è radice terza, e la sua derivata 3/4 * rad3 di (2+5x^2)
Ciao, scusa… Non ho capito perchè nell’esercizio 5 e nel 9 moltiplichi per 1/10… non basta integrare la x?
Ciao Anonimo,
no è giusto così, e la regola è sempre la stessa. Nel 18 però era meglio se visualizzavo l’ 1/2 all’interno dell’integrale: ricordo che 1/2 in questo caso rappresenta la derivata di 1/2 x al denominatore.
scusami ma nell’esercizio 16 e nell’esercizio 18 hai applicato due regole diverse? nel 18 non dovrebbe venire 1/4 arcsen(x/2)? Grazie mille!!
quando scrivo log (con l minuscola e non specifico la base) intendo logaritmo naturale (ln). Alcuni libri di testo (e anche io in questo caso) lo fanno. Ciao!
anke nel es 4
es 3 c’è un errore non è log ma ln
Log= logaritmo in base 10
log = ln valgono entrambe le scritture cambia dal primo solo la lettera maiuscola