Ciao Albert! Sono Elena! Mille complimenti per il sito! Mi è stato utilissimo con le funzioni, ora mi sto cimentando con gli integrali.. :-) Considera che non ho mai svolto integrali in vita mia, avendo fatto il licoe classico, e ora mi ritrovo al terzo anno di farmacia, con tutti gli esami fatti, tranne matematica.. che devo fare per forza altrimenti mi bloccano tutti gli esami da fare e non posso andare avanti.. che tragedia!!comunque volevo chiederti di spiegarmi i passaggi dell’integrale xe^3x, perchè non mi trovo.. :-) Grazie mille!!! E ancora complimenti!
moltiplico dentro e divido fuori per 3 in modo ad avere:
f=x -> f’=1 g’=3e^(3x) -> g=e^(3x)
poi usi la formula per parti:
int(f g’ dx) = fg – int (f’ g dx)
ricordando che hai l’ 1/3 fuori
Sono nella tua stessa situazione primo anno di informatica provengo da un istituto professionale :/ non mi sono mai interfacciato con gli integrali
Ciao Albert, sono alle prime armi e ti vorrei chiedere una cosa. Nella formula int f(x)g'(x) = f(x)g(x) – int f'(x)g(x), g'(x) è primitiva o derivata di g (x)? E f'(x) è primitiva o derivata di f(x)? Perché quando svolgi gli esercizi mi sembra che a volte fai: int f(x)g'(x) = f(x)* primitiva di g'(x) – integrale della derivata di f(x) * primitiva di g'(x), mentre altre volte derivi invece di integrare. Mi puoi per piacere scrivere la formula int f(x)g'(x) = f(x)g(x) – int f'(x)g(x) in italiano spiegandomi i passaggi che devo fare? Grazie mille e scusa l’ignoranza.
Ciao!! Ho un esame di matematica la prossima settimana e il tuo sito mi sta davvero aiutando molto, mi potresti però spiegare l’ultimo integrale che non riesco proprio a capire?? Tanti complimenti ancora!!! :)
int x/2 dx = 1/2 int x dx = 1/2 (x^2 / 2) + C = x^2 / 4 + C
C’è quel 3 all’esponente che ti frega: ricordati che la derivata di e^(3x) è 3e^(3x) (devi moliplicare per 3 che è la derivata della funzione interna – l’esponente – ), mentre l’integrale di e^(3x) è 1/3 e^(3x).
Ripassati gli integrali indefiniti immediati, dove hai anche gli integrali risolti con la regola inversa della derivazione composta, e vedrai che capirai meglio…
Ciao!! Scusa ma sono disperata ed io e la matematica viaggiamo su linee parallele, mi potresti spiegare come l’integrale di x/2 viene x^2/4? mi spiegheresti anche perchè int xe^3x non viene semplicemente xe^3x- inte^3x = xe^3x- e^3x = e^3x * (x+1)? Grazie mille! :)
Ciao Albert,potresti spiegarmi meglio come si risolve il sesto integrale? Non riesco a capire come si risolva quando ottengo l’integrale di 1/x per 2/3xradice di x…
ciao albert non riesco a capire un passaggio dell’esercizio 3. Ma x^5 che troviamo nella traccia,non bisogna calcolarlo?e poi -1/3 (-3x^2)*(e^-x^3)*x^3…questo ultimo x^3 da dove lo calcoliamo???
g’ è una derivata di una funzione composta: la funzione esterna è e^(-x^3), e la derivata della sua funzione interna (-x^3) è proprio -3x^2. Per cui basta integrare e^t=e^(-x^3) ottenendo e^t=e^t=e^(-x^3)
Ciao Mattia, grazie mille per i complimenti! Il successo del sito è merito anche vostro che lo migliorate con queste segnalazioni, Grazie! Ho modificato.
ciao albert complimenti per la qualita e quantità di materiale che riesci a mettere a disposizione.nel 3 hai scritto solo e^x anziché e^x^3. ci ho perso un ora credendo avessi utilizzato un particolare caso di integrale.per il resto hai messo su un gran bel sito.complimenti mattia
Albertttttttttttttttttttttt!!! volevo solo dirti che ho passato l’esame di matematica e considerando che la mi fonte primaria sei stato tu….GRAZIEEEEEEEEEEEEEEEEEEEEEEEEEEE!
Ciao Albert!!!! come promesso rieccomi a disturbarti xD volevo chiederti di questo integrale ovvero: integrate di x+2/(x^2-6x+5), la mia idea è di moltiplicare e dividere per 2 , e poi scomporre quell+2 in -6+8 ma il risultato mi viene diverso da walfram e non capisco perchè helppppppp!!! grazie mille :)
Grazie mille!!!! però che casino xD perchè doveva essere così difficile la matematica???? Cmq grazie davvero spero di non darti più fastidio anche se non penso che ci riuscirò :)
qui è importante la classificazione: si tratta di un integrale di una funzione fratta, con numeratore di grado inferiore al denominatore, e con denominatore di grado 2 e delta>0. In questi casi il metodo è questo:
si scompone il denominatore (x+2)/(x^2-1) = (x+2)/((x+1)(x-1))
si pone quindi (x+2)/(x^2-1) = A/(x+1) + B/(x-1)
si fa i conti al secondo membro A/(x+1) + B/(x-1) = (Ax-A+Bx+B)/(x^2-1) = ((A+B)x-A+B)/(x^2-1)
quindi (x+2)/(x^2-1) = ((A+B)x-A+B)/(x^2-1)
Il coefficiente di x dev’essere 1 e il termine noto del numeratore 2; quindi si trovano A e B dal sistema: A+B=1 -A+B=2
A=-1/2 B=3/2
L’integrale iniziale diventa: int (x+2)/(x^2-1) dx = -1/2 int 1/(x+1) dx +3/2 int 1/(x-1) dx = -1/2 ln |x+1| +3/2 ln |x-1| +C
Ciao Albert! Non vorrei iniziare a romperti ma credo tu sia l unico su cui posso contare, e dal quale sono sicuro di avere una risposta corretta, non riesco a fare quest integrale l ho fatto anche su wolfram ma non l ho capito xD l’ integrale è questo : integrate (x+2)/(x^2-1) dx aspetto tue notizie e grazie ancora :)
Ciao Luigi, grazie a te per essere passato da queste parti! Come dicevo a Paola sopra, spero di restituire il vostro affetto anche con la pubblicazione di nuovi esercizi sugli integrali (per sostituzione, parti, definiti, etc). Diciamo, per tenermi largo, che conto di completare la sezione integrali entro maggio, spero prima dei vostri esami :) Grazie ancora, a presto!
No no! sottolineo genio!!! la genialità sta nel saper tradurre la propria conoscenza in modo chiaro e semplice per chiunque!!!motivo per cui utilizzo praticamente solo questo sito! Ciao e alla prossima…radice di t!
Ciao Paola, genio mi sembra in po’ esagerato…ho solo risolto un esercizio :) Grazie! Comunque quando vai per sostituzione capita di dover fare qualche tentativo, ma quasi sempre si tratta di sostituire t al posto di una radice presente nella funzione integranda (come nel caso in questione)
Albert…tu sei un genio!!! riesci a spiegare ogni cosa con una semplicità che definirei propria solo dei “GRANDI”. Grazie mille! Una cosa è certa ora ho capito ma non sarei stata mai in grado di capire da sola cosa dovevo sostituire ed in che modo, non so forse ci vuole un po di occhio che solo esercitandomi potrò acquisire! Mi sa che dovrò ripetere questo esame un bel po di volte…vabbè pazienza, la pazienza è la virtù dei forti! CIAOOOOOOO e un altrp mega GRAZIE!
questo mese aggiungerò anche integrali per sostituzione e definiti…per ora risolvo il tuo, molto interessante:
int rad(x^2-2)/x dx
pongo t=rad(x^2-2)
invertendo la formula trovo x:
x=rad(t^2+2)
derivo rispetto a t e ottengo dx:
dx = t/rad(t^2+2) dt
Ora sostituisco t, x, e dx nel mio integrale iniziale e ottengo:
int t/rad(t^2+2) * t/rad(t^2+2) dt =
int t^2/(t^2+2) dt
che è una fratta e si risolve aggiungendo e togliendo 2 al numeratore:
int (t^2+2-2)/(t^2+2) dt =
int (t^2+2)/(t^2+2) dt -2int 1/(t^2+2) dt =
(il secondo integrale è un arcotangente*)
int dt -2int 1/2((t/rad2)^2+1) dt =
t – int 1/((t/rad2)^2+1) dt =
t – rad2 int 1/rad2 * 1/((t/rad2)^2+1) dt =
t – rad2 arctg (t/rad2) + c
Ora sostituiamo la t=rad(x^2-2):
rad(x^2-2) – rad2 arctg (rad(x^2-2)/rad2) + c
Quest’ultima è il risultato finale, qui il controllo con wolframalpha: http://ow.ly/a7Pw6
Effettivamente se fai direttamente l’integrale con WAlpha ti da un risultato leggermente diverso, ma questo perchè quando ci sono funzioni goniometriche di mezzo ci sono vari modi per scrivere un espressione…
*se vuoi sugli integrali immediati trovi esercizi svolti a riguardo
Albert….sono sempre io, il tuo peggior assillo!!! scusamiiiiiiiiii ma puoi aiutarmi solo tu! Non riesco a risolvere questo integrale ho provato anche con wolframalpha program eho capito solo che si usa la sostituzione ma il procedimento per me incomprensibile. L’integrale è: radice (x^2-2)/x la radice è solo per (x^2-2). Grazieeeeeeeeeeeeeeeeeeeeee!!!!!!!!!!!!!!!!!
Ciao Albert, prima di tutto felice di ritrovarmi sul tuo sito! poi la solita domanda sciocca! Mi potresti spiegare perchè in questo integrale : 2x log(x-5)dx, devo considerare 2x come g'(x) e log(x-5) come f(x) e non posso fare il contrario???? Grazieeeeeeeeee in anticipo!
Ciao Anonimo, io farei i due casi: se x>0 tolgo il modulo e lascio x: f=xe^x se x<0 tolgo il modulo e lascio -x: f=xe^(-x) Faccio i due integrali per parti derivando la x e integrando l’esponenziale: per x>0 mi viene (x-1)e^x+c per x<0 mi viene -(x+1)e^(-x)+c Poi assemblo i due risultati con la funzione segno x/|x| che è +1 per x>0 e -1 per x<0: Mi viene quindi: (x/|x|)(x – x/|x|)e^(x(x/|x|))+c
Ciao Paola, mi dispiace per l’esame, ma tutti i progressi che hai fatto saranno sicuramente un investimento per il prossimo appello, ti faccio fin d’ora l’in bocca al lupo! Grazie per il supporto, mi dai una grossa motivazione a continuare a lavorare su questo progetto!
Ciao Albert, ti volevo dire che l’esame non è andato bene!però ho superato il debito formativo… ma continuerò ad insistere fino alla vecchiaia se necessario! intanto continuerò ad esercitarmi e a rimanere incollata a questo sito meravigliosooooooo grazie al quale sono riuscita non solo a superare il debito ma anche svolgere un compito “quasi sufficiente” cosa che non mi sarei mai aspettata! Grazie!
Scusami tanto Albert, dal momento che sta nascendo un dibattito su un integrale che a me sembra piuttosto semplice,potresti darmi tu la soluzione corretta? l’integrale è x^-4*logx dx Ti ringrazio, ciao
Ciao Paola, il tuo risultato è giusto: se lo derivi trovi proprio arctg(x). Purtroppo sui forum c’è gente che risponde a caso, sbaglia, e copia e incolla gli errori degli altri…anche io l’ho notato. L’unica risposta giusta che ho trovato è questa: http://www.matematicamente.it/forum/viewtopic.php?t=17114&p=133417 ciao!
Ma scusate nel risolvere gli esercizi considera log(x) come ln(x)?
Si, e’ considerato come ln
Ciao! Complimenti per il lavoro che fai!
Comunque credo che l’ultimo esercizio sia errato.. Integrando x^1/2 si ottiene 2/3 x^(3/2)
Sei d’accordo?
TETA= numero positivo
mi potete aiutare con questo integrale per parti?? aiutooooo
int( x*((teta+2)/2)*(1+x/2)^-(teta+3)
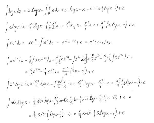
Ciao Albert, penso hai fatto un piccolo errore nel 4° es., nella parentesi del risultato dovrebbe essere (3x-1) invece di (x-1)
Hai ragione, ho modificato, grazie!
Ciao Albert! Sono Elena! Mille complimenti per il sito! Mi è stato utilissimo con le funzioni, ora mi sto cimentando con gli integrali.. :-) Considera che non ho mai svolto integrali in vita mia, avendo fatto il licoe classico, e ora mi ritrovo al terzo anno di farmacia, con tutti gli esami fatti, tranne matematica.. che devo fare per forza altrimenti mi bloccano tutti gli esami da fare e non posso andare avanti.. che tragedia!!comunque volevo chiederti di spiegarmi i passaggi dell’integrale xe^3x, perchè non mi trovo.. :-) Grazie mille!!! E ancora complimenti!
Ciao Elena, grazie,
moltiplico dentro e divido fuori per 3 in modo ad avere:
f=x -> f’=1
g’=3e^(3x) -> g=e^(3x)
poi usi la formula per parti:
int(f g’ dx) = fg – int (f’ g dx)
ricordando che hai l’ 1/3 fuori
Sono nella tua stessa situazione primo anno di informatica provengo da un istituto professionale :/ non mi sono mai interfacciato con gli integrali
Ciao Albert, sono alle prime armi e ti vorrei chiedere una cosa. Nella formula int f(x)g'(x) = f(x)g(x) – int f'(x)g(x), g'(x) è primitiva o derivata di g (x)? E f'(x) è primitiva o derivata di f(x)? Perché quando svolgi gli esercizi mi sembra che a volte fai: int f(x)g'(x) = f(x)* primitiva di g'(x) – integrale della derivata di f(x) * primitiva di g'(x), mentre altre volte derivi invece di integrare. Mi puoi per piacere scrivere la formula int f(x)g'(x) = f(x)g(x) – int f'(x)g(x) in italiano spiegandomi i passaggi che devo fare?
Grazie mille e scusa l’ignoranza.
Tu hai dentro l’integrale un prodotto di funzioni: int f(x)g'(x) dx
f(x) lo derivi e ti trovi f'(x), mentre g'(x) lo integri e diventa g(x).
Ora le hai tutte: f, g, f’, g’ , e usi la formula:
f(x)g(x) -int f'(x)g(x) dx
nell’esercizio 6 l’integrale della radice di x non è 2/3 * la radice quadrata di x^3
si, ma rad(x^3)=xradx
perchè all’esercizio 6 viene 2/3 x rad x
io mi trovo 2/3 rad x
L’integrale di radx=x^(1/2) è
x^(3/2) / (3/2)= 2/3 x radx
Grazie a te del commento!
Integrazione per parti:
intf'(x)g(x)dx= f(x)g(x) – intf(x)g'(x)dx
Nell’ultimo esercizio:
f'(x)=radx
f(x)=2/3 x radx che è l’integrale di f'(x)
g(x)=logx
g'(x)=1/x
Metti tutto nella formula che ho scritto sopra e ottieni quello che vedi nella soluzione proposta.
Ciao!! Ho un esame di matematica la prossima settimana e il tuo sito mi sta davvero aiutando molto, mi potresti però spiegare l’ultimo integrale che non riesco proprio a capire??
Tanti complimenti ancora!!! :)
Ciao Giulia,
int x/2 dx =
1/2 int x dx =
1/2 (x^2 / 2) + C =
x^2 / 4 + C
C’è quel 3 all’esponente che ti frega: ricordati che la derivata di e^(3x) è 3e^(3x) (devi moliplicare per 3 che è la derivata della funzione interna – l’esponente – ), mentre l’integrale di e^(3x) è 1/3 e^(3x).
Ripassati gli integrali indefiniti immediati, dove hai anche gli integrali risolti con la regola inversa della derivazione composta, e vedrai che capirai meglio…
Ciao!! Scusa ma sono disperata ed io e la matematica viaggiamo su linee parallele, mi potresti spiegare come l’integrale di x/2 viene x^2/4? mi spiegheresti anche perchè int xe^3x non viene semplicemente xe^3x- inte^3x = xe^3x- e^3x = e^3x * (x+1)?
Grazie mille! :)
int 1/x * 2/3 * x * radx * dx =
x e x si semplificano
int 2/3 * radx * dx =
porti fuori il 2/3
2/3 int radx * dx =
2/3 int x^(1/2) dx =
2/3 * x^(3/2) / 2/3 =
2/3 * 2/3 * rad(x^3) =
2/3 * 2/3 * x * radx
Ciao Albert,potresti spiegarmi meglio come si risolve il sesto integrale?
Non riesco a capire come si risolva quando ottengo l’integrale di 1/x per 2/3xradice di x…
Praticamente si scrive x^5 come moltiplicazione tra x^2 e x^3:
x^5 = x^2 * x^3
ciao albert non riesco a capire un passaggio dell’esercizio 3.
Ma x^5 che troviamo nella traccia,non bisogna calcolarlo?e poi -1/3 (-3x^2)*(e^-x^3)*x^3…questo ultimo x^3 da dove lo calcoliamo???
grazie mille
Ciao Peppe,
g’ è una derivata di una funzione composta: la funzione esterna è e^(-x^3), e la derivata della sua funzione interna (-x^3) è proprio -3x^2. Per cui basta integrare e^t=e^(-x^3) ottenendo e^t=e^t=e^(-x^3)
ciao sono peppe, nel terzo esercizio si ci ritrova integ e^(-x^3)*(-3x^2) come esce solo e^(-x^3)? grazie in anticipo
Ciao Mattia,
grazie mille per i complimenti! Il successo del sito è merito anche vostro che lo migliorate con queste segnalazioni, Grazie! Ho modificato.
ciao albert complimenti per la qualita e quantità di materiale che riesci a mettere a disposizione.nel 3 hai scritto solo e^x anziché e^x^3. ci ho perso un ora credendo avessi utilizzato un particolare caso di integrale.per il resto hai messo su un gran bel sito.complimenti mattia
Ahhh ecco xD grazie mille :)
Ciao Luigi,
il tuo procedimento non è sbagliato:
int (x+2)/(x^2-6x+5) dx
moltiplica e dividi per 2:
1/2 int (2x+4)/(x^2-6x+5) dx
1/2 int (2x-6+10)/(x^2-6x+5) dx
1/2 int (2x-6)/(x^2-6x+5) dx + 1/2 int 10/(x^2-6x+5) dx
1/2 ln|x^2-6x+5| + 5 int 1/((x-1)(x-5)) dx
Il secondo int si risolve ponendo 1/(x^2-6x+5) = A/(x-1) + B/(x-5)
(ometto i conti):
1/2 ln|(x-1)(x-5)| – 5/4 ln |x-1| + 5/4 ln |x-5| + C
1/2 ln|x-1| + 1/2 ln|x-5| – 5/4 ln |x-1| + 5/4 ln |x-5| + C
7/4 ln|x-5| – 3/4 ln |x-1| + C
Brava Paola!! Sono orgoglioso che questo sito ti stato di aiuto! Grazie a te per le soddisfazioni che mi hai dato!
Alberto
Albertttttttttttttttttttttt!!! volevo solo dirti che ho passato l’esame di matematica e considerando che la mi fonte primaria sei stato tu….GRAZIEEEEEEEEEEEEEEEEEEEEEEEEEEE!
Ciao Albert!!!! come promesso rieccomi a disturbarti xD volevo chiederti di questo integrale ovvero:
integrate di x+2/(x^2-6x+5), la mia idea è di moltiplicare e dividere per 2 , e poi scomporre quell+2 in -6+8 ma il risultato mi viene diverso da walfram e non capisco perchè helppppppp!!! grazie mille :)
Grazie mille!!!! però che casino xD perchè doveva essere così difficile la matematica???? Cmq grazie davvero spero di non darti più fastidio anche se non penso che ci riuscirò :)
Ciao Luigi,
qui è importante la classificazione: si tratta di un integrale di una funzione fratta, con numeratore di grado inferiore al denominatore, e con denominatore di grado 2 e delta>0. In questi casi il metodo è questo:
si scompone il denominatore
(x+2)/(x^2-1) = (x+2)/((x+1)(x-1))
si pone quindi
(x+2)/(x^2-1) = A/(x+1) + B/(x-1)
si fa i conti al secondo membro
A/(x+1) + B/(x-1) = (Ax-A+Bx+B)/(x^2-1) =
((A+B)x-A+B)/(x^2-1)
quindi
(x+2)/(x^2-1) = ((A+B)x-A+B)/(x^2-1)
Il coefficiente di x dev’essere 1 e il termine noto del numeratore 2; quindi si trovano A e B dal sistema:
A+B=1
-A+B=2
A=-1/2
B=3/2
L’integrale iniziale diventa:
int (x+2)/(x^2-1) dx =
-1/2 int 1/(x+1) dx +3/2 int 1/(x-1) dx =
-1/2 ln |x+1| +3/2 ln |x-1| +C
Ciao Albert! Non vorrei iniziare a romperti ma credo tu sia l unico su cui posso contare, e dal quale sono sicuro di avere una risposta corretta, non riesco a fare quest integrale l ho fatto anche su wolfram ma non l ho capito xD l’ integrale è questo : integrate (x+2)/(x^2-1) dx aspetto tue notizie e grazie ancora :)
Ciao Luigi,
grazie a te per essere passato da queste parti! Come dicevo a Paola sopra, spero di restituire il vostro affetto anche con la pubblicazione di nuovi esercizi sugli integrali (per sostituzione, parti, definiti, etc). Diciamo, per tenermi largo, che conto di completare la sezione integrali entro maggio, spero prima dei vostri esami :)
Grazie ancora, a presto!
Grazie mille!!! devo dirti che questo sito è davvero utilissimo e devo proprio ringraziarti di tutto :)COMPLIMETNTI!!!!!
No no! sottolineo genio!!! la genialità sta nel saper tradurre la propria conoscenza in modo chiaro e semplice per chiunque!!!motivo per cui utilizzo praticamente solo questo sito! Ciao e alla prossima…radice di t!
Ciao Paola, genio mi sembra in po’ esagerato…ho solo risolto un esercizio :) Grazie!
Comunque quando vai per sostituzione capita di dover fare qualche tentativo, ma quasi sempre si tratta di sostituire t al posto di una radice presente nella funzione integranda (come nel caso in questione)
Albert…tu sei un genio!!! riesci a spiegare ogni cosa con una semplicità che definirei propria solo dei “GRANDI”. Grazie mille! Una cosa è certa ora ho capito ma non sarei stata mai in grado di capire da sola cosa dovevo sostituire ed in che modo, non so forse ci vuole un po di occhio che solo esercitandomi potrò acquisire! Mi sa che dovrò ripetere questo esame un bel po di volte…vabbè pazienza, la pazienza è la virtù dei forti! CIAOOOOOOO e un altrp mega GRAZIE!
Ciao Paola,
questo mese aggiungerò anche integrali per sostituzione e definiti…per ora risolvo il tuo, molto interessante:
int rad(x^2-2)/x dx
pongo t=rad(x^2-2)
invertendo la formula trovo x:
x=rad(t^2+2)
derivo rispetto a t e ottengo dx:
dx = t/rad(t^2+2) dt
Ora sostituisco t, x, e dx nel mio integrale iniziale e ottengo:
int t/rad(t^2+2) * t/rad(t^2+2) dt =
int t^2/(t^2+2) dt
che è una fratta e si risolve aggiungendo e togliendo 2 al numeratore:
int (t^2+2-2)/(t^2+2) dt =
int (t^2+2)/(t^2+2) dt -2int 1/(t^2+2) dt =
(il secondo integrale è un arcotangente*)
int dt -2int 1/2((t/rad2)^2+1) dt =
t – int 1/((t/rad2)^2+1) dt =
t – rad2 int 1/rad2 * 1/((t/rad2)^2+1) dt =
t – rad2 arctg (t/rad2) + c
Ora sostituiamo la t=rad(x^2-2):
rad(x^2-2) – rad2 arctg (rad(x^2-2)/rad2) + c
Quest’ultima è il risultato finale, qui il controllo con wolframalpha:
http://ow.ly/a7Pw6
Effettivamente se fai direttamente l’integrale con WAlpha ti da un risultato leggermente diverso, ma questo perchè quando ci sono funzioni goniometriche di mezzo ci sono vari modi per scrivere un espressione…
*se vuoi sugli integrali immediati trovi esercizi svolti a riguardo
Buona Pasqua!
Albert….sono sempre io, il tuo peggior assillo!!! scusamiiiiiiiiii ma puoi aiutarmi solo tu! Non riesco a risolvere questo integrale ho provato anche con wolframalpha program eho capito solo che si usa la sostituzione ma il procedimento per me incomprensibile.
L’integrale è: radice (x^2-2)/x la radice è solo per (x^2-2).
Grazieeeeeeeeeeeeeeeeeeeeee!!!!!!!!!!!!!!!!!
Grazie mille, infatti…poi me ne sono accorta!!!
PS:sto usando il programma wolframalpha che mi avevi già consigliato…è una salvezza!
GRAZIE!!!
Ciao Paola,
felice io di ritrovarti qui!
Il fatto è che se fai il contrario ti tocca integrare log(x-5) per passare dalla g’ alla g:
http://www.wolframalpha.com/input/?i=int+ln%282x-5%29
Ti complicheresti tantissimo la vita anche perchè poi, nella formula, la g va messa di nuovo dentro l’integrale…
Ciao Albert, prima di tutto felice di ritrovarmi sul tuo sito! poi la solita domanda sciocca!
Mi potresti spiegare perchè in questo integrale : 2x log(x-5)dx, devo considerare 2x come g'(x) e log(x-5) come f(x) e non posso fare il contrario???? Grazieeeeeeeeee in anticipo!
Ciao Anonimo,
io farei i due casi: se x>0 tolgo il modulo e lascio x: f=xe^x
se x<0 tolgo il modulo e lascio -x: f=xe^(-x)
Faccio i due integrali per parti derivando la x e integrando l’esponenziale:
per x>0 mi viene (x-1)e^x+c
per x<0 mi viene -(x+1)e^(-x)+c
Poi assemblo i due risultati con la funzione segno x/|x| che è +1 per x>0 e -1 per x<0:
Mi viene quindi:
(x/|x|)(x – x/|x|)e^(x(x/|x|))+c
utilizzando la risoluzione per parti, come si integra xe^|x|…quel valore assoluto mi sta facendo impazzire!
Ciao Paola,
mi dispiace per l’esame, ma tutti i progressi che hai fatto saranno sicuramente un investimento per il prossimo appello, ti faccio fin d’ora l’in bocca al lupo!
Grazie per il supporto, mi dai una grossa motivazione a continuare a lavorare su questo progetto!
Ciao Albert,
ti volevo dire che l’esame non è andato bene!però ho superato il debito formativo… ma continuerò ad insistere fino alla vecchiaia se necessario! intanto continuerò ad esercitarmi e a rimanere incollata a questo sito meravigliosooooooo grazie al quale sono riuscita non solo a superare il debito ma anche svolgere un compito “quasi sufficiente” cosa che non mi sarei mai aspettata! Grazie!
Grazieeeee!
Ciao Paola,
la soluzione la trovi a questo link:
http://www.wolframalpha.com/input/?i=x^%28-4%29*logx+dx+
si risolve per parti utilizzando la formula
int f(x)g'(x)dx = f(x)g(x) – int f'(x)g(x)dx
con:
f(x)=logx
f'(x)=x^(-1)
g'(x)=x^(-4)
g(x)=(x^(-3))/(-3)
Scusami tanto Albert, dal momento che sta nascendo un dibattito su un integrale che a me sembra piuttosto semplice,potresti darmi tu la soluzione corretta? l’integrale è x^-4*logx dx
Ti ringrazio, ciao
Grazie mille!!!!!
Ciao Paola, il tuo risultato è giusto: se lo derivi trovi proprio arctg(x).
Purtroppo sui forum c’è gente che risponde a caso, sbaglia, e copia e incolla gli errori degli altri…anche io l’ho notato. L’unica risposta giusta che ho trovato è questa:
http://www.matematicamente.it/forum/viewtopic.php?t=17114&p=133417
ciao!
Ciao Albert, scusami potresti aiutarmi? Ho svolto l’integrale di arctg x ma nessun risultato corrisponde al mio:
Il mio risultato è:
x arctg x -1/2log(1+x^2)+c
GRAZIE!
Grazie a te…non immagini quanto mi siano utili questi esercizi!!!!!
Ciao Paola,
si hai ragione, ho modificato.
Grazie!
Ciao, scusami ma nell’ex n°5 il risultato non è e^x(x^2-2x+1)+c? come elimini quel 2 davanti alla x??
ciao e grazie.
Sia la mia
int f(x)g'(x) = f(x)g(x) – int f'(x)g(x)
che la tua
intf'(x)g(x)= f(x)g(x) – intf(x)g'(x)
sono giuste, perchè dicono la stessa cosa:
nella seconda chiami f(x) la g(x) della prima, e chiami g(x) la f(x) della prima.
Vedi caro Albert, alla fine è solo una questione di nomi :)
Ciao!
Ciao Albert.
La formula giusta di integrazione per parti è:
intf'(x)g(x)= f(x)g(x) – intf(x)g'(x)
Ciao da Albert
ciao!
eh perchè la tua formula è sbagliata…
quella giusta è:
int f(x)g'(x) = f(x)g(x) – int f'(x)g(x)
La regola dell’integrazione per parti è:
int f(x)g'(x) = f(x)g(x) – int f(x)g'(x)
Perciò nel primo esercizio perchè la f(x) è stata derivata nel primo passaggio?
(domanda di una studentessa in crisi XD)