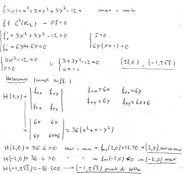
La matrice si costruisce a partire dalle derivate parziali della funzione f
Come puoi ben vedere la prima entrata è la derivata di fx rispetto ad x poi abbiamo le derivate ad incrocio ossia fxy è la derivata di fx rispetto ad y e poi fyy ottenuta derivando fy rispetto ad y.
Ho posto le derivate parziali uguali a zero. Poi ho raccolto 6y nella seconda, trovando così con la regola di annullamento del prodotto due risultati: y=0 e x=-1, che ho rispettivamente sostituito nella prima
fxy è la derivata rispetto a x di f’y, mentre fyx è la derivata rispetto a y di f’x
puoi risolvere questa funzione 3x^3+9xy^2-5x+4y
Ciao, i punti di massimo assoluti?
ciao Albert! mi potresti per favore risolvermi questa funzione:x^4+y^4-2(x-y)^2 ?
ciao mi puoi spiegare per cortesia come costruire la matrice Hessiana??
La matrice si costruisce a partire dalle derivate parziali della funzione f
Come puoi ben vedere la prima entrata è la derivata di fx rispetto ad x poi abbiamo le derivate ad incrocio ossia fxy è la derivata di fx rispetto ad y e poi fyy ottenuta derivando fy rispetto ad y.
Non capisco il sistema!!
Ho posto le derivate parziali uguali a zero. Poi ho raccolto 6y nella seconda, trovando così con la regola di annullamento del prodotto due risultati: y=0 e x=-1, che ho rispettivamente sostituito nella prima
fxy è la derivata rispetto a x di f’y, mentre fyx è la derivata rispetto a y di f’x
Ma come hai fatto a ricavare la fxy e fyx… potresti indicarmi i passaggi completi? :)