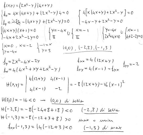
Nel raccoglimento della derivata parziale di x hai raccolto x+2x^2?? Tu hai scritto (4x+y)(x+1) ma non fa (4x+y) (x+2)??
Ciao Alex, sinceramente non lo so che semplificazione ho fatto :) ma è giusto! Quindi segui pure un’altra strada tipo questa: dalla seconda: y=x^2-2xche sostituita nella prima (e raccolta la x) ti da:x(x^2+3x+2)=0 che ti da le tre soluzioni x=0, x=-2, x=-1
Scusa.. (4x+y)(2x+1)???
Vedi commento 1 ;)
sicuro che venga x(x^2+3x+2)=0 e non x(x^2+4x+2)=0?
sicuro :)
Nel raccoglimento della derivata parziale di x hai raccolto x+2x^2?? Tu hai scritto (4x+y)(x+1) ma non fa (4x+y) (x+2)??
Ciao, mi spieghi da dove hai ottenuto (4x+y)(x+1)=0 al terzo sistema?
Ciao Alex, sinceramente non lo so che semplificazione ho fatto :) ma è giusto! Quindi segui pure un’altra strada tipo questa:
dalla seconda: y=x^2-2x
che sostituita nella prima (e raccolta la x) ti da:
x(x^2+3x+2)=0
che ti da le tre soluzioni x=0, x=-2, x=-1