Scarica tutti i 101 studi in formato PDF e sostieni il progetto Matepratica con soli 3,99€: clicca qui per effettuare il pagamento, riceverai subito un link via mail dove poter scaricare uno Zip con tutti gli studi pubblicati sul sito in versione PDF. Per ulteriori info scrivi a info@matepratica.it
Scarica tutti i 101 studi in formato PDF e sostieni il progetto Matepratica con soli 3,99€: clicca qui per effettuare il pagamento, riceverai subito un link via mail dove poter scaricare uno Zip con tutti gli studi pubblicati sul sito in versione PDF. Per ulteriori info scrivi a info@matepratica.it



Perché nella derivata seconda esce 3/3??
e´ +o- 1/radice di tre, non ci sono cazzi… comunque bel sito davvero
Perché nello studio della derivata seconda ti vengono quei valori come punti di flesso?
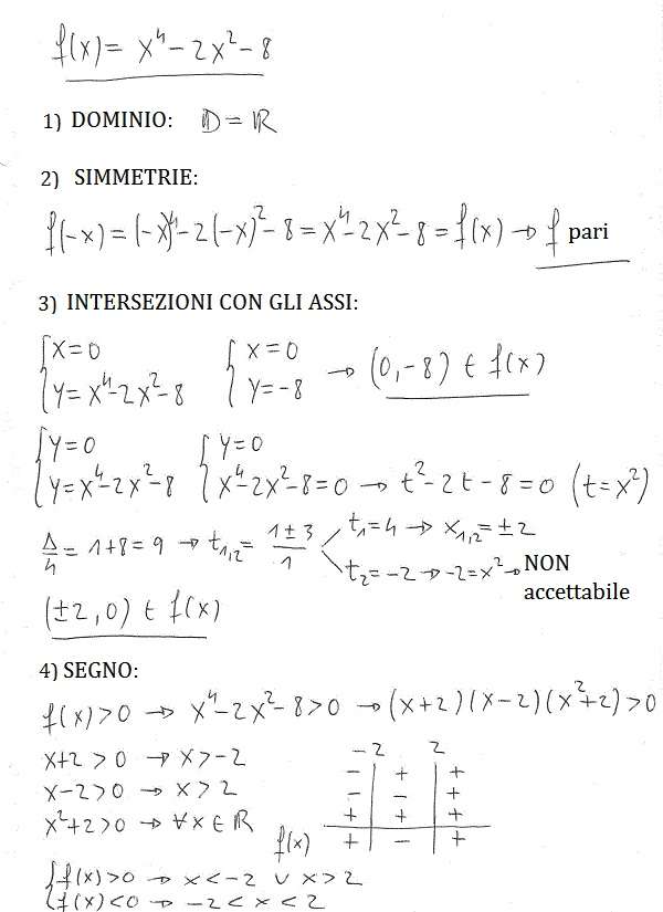
nel sistema dell’intersezione con gli assi, l’ equazione che si ha quando Y=0 non si sarebbe potuta risolvere con la regola di ruffini?
Ciao,
perchè non avrei potuto trovare il segno ponendo x^4 = t^2 e x^ = t e risolvere l’eq. di 2° ????
Inoltre, la forma in cui si presenta il polinomio ha un nome, che ne sò, trinomio particolare etc…???
scusate ma perchè nella verifica delle simmetrie -2(-x) risulta -2x e non +2x??
perchè il (-x) è elevato al quadrato quindi diventa positivo quindi avrai in definitiva -2(x^2)
spero di esserti stato d’aiuto
Questo commento è stato eliminato dall’autore.