Scarica tutti i 101 studi in formato PDF e sostieni il progetto Matepratica con soli 3,99€: clicca qui per effettuare il pagamento, riceverai subito un link via mail dove poter scaricare uno Zip con tutti gli studi pubblicati sul sito in versione PDF. Per ulteriori info scrivi a info@matepratica.it
Scarica tutti i 101 studi in formato PDF e sostieni il progetto Matepratica con soli 3,99€: clicca qui per effettuare il pagamento, riceverai subito un link via mail dove poter scaricare uno Zip con tutti gli studi pubblicati sul sito in versione PDF. Per ulteriori info scrivi a info@matepratica.it



non ho capito per quale motivo nello studio del segno quando abbiamo in quadrato di binomio
(x-2)^2 >=0 diventa successivamente x diverso da 2
Velocemente mi scuso…. Non so ma è successo, che aggiungessi un 2 come coefficiente di x^2 … Bene, ricomincio. Grazie
Moltiplicando x 2 a destra e sinistra dovrebbe risultare: x^3 – 4x^2 – 4x +8…
Impossibile utilizzare il raccoglimento parziale. Ruffini nemmeno… Sostituire x=y-b/3a? Il grafico (punto di Min) suggerisce questo. Ma poi ci ho rinunciato. Sito molto utile, grazie per darmi la possibilità di mettermi alla prova.
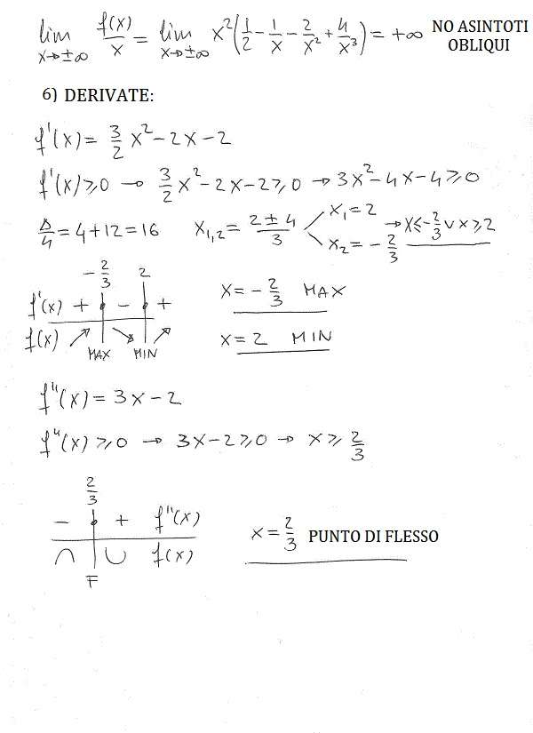
ciao, io n capisco xk il punto di max mi viene (-2/3; -2/3) e qll di minimo (0;2). quindi il grafico n risulta x niente uguale.
ma il minimo non è (2;-4)? grazie =)
mi potreste spiegare in dettaglio i passaggi relativi allo studio del segno? grazie :)
f(x)>0
moltiplico per 2 a dx e sx:
x^3-2x^2-4x+8>0
RAccolgo parzialmente:
x^2(x-2)-4(x-2)>0
(x^2-4)(x-2)>0
(x-2)(x+2)(x-2)>0
(x+2)(x-2)^2>0