Scarica tutti i 101 studi in formato PDF e sostieni il progetto Matepratica con soli 3,99€: clicca qui per effettuare il pagamento, riceverai subito un link via mail dove poter scaricare uno Zip con tutti gli studi pubblicati sul sito in versione PDF. Per ulteriori info scrivi a info@matepratica.it
Scarica tutti i 101 studi in formato PDF e sostieni il progetto Matepratica con soli 3,99€: clicca qui per effettuare il pagamento, riceverai subito un link via mail dove poter scaricare uno Zip con tutti gli studi pubblicati sul sito in versione PDF. Per ulteriori info scrivi a info@matepratica.it



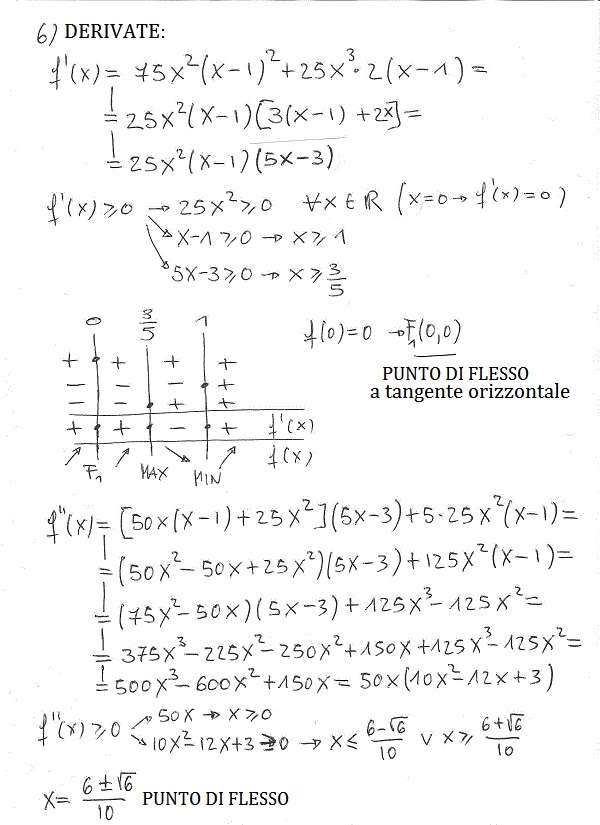
salve, complimenti per il sito….potresti spiegarmi come hai fatto nella derivata prima….intendo la seconda riga del punto 6
Puoi spiegare il secondo passaggio della derivata prima?
Grazie!
Non capisco il calcolo della derivata prima! Specialmente il secondo passaggio :\
Potresti spiegarmi il risultato finale della derivata prima? Grazie!
Ah no, ho capito =)
perchè non escludiamo il punto 1 dal dominio?
perchè per x=1 la funzione esiste (e vale zero)
ciao inanzitutto complimenti per il sito! volevo chiederti come hai fatto a svolgere il quadrato del binomio (x-1)^2 per quanto riguarda il segno della funzione. grazie
Non l’ho svolto perchè un quadrato è sempre >=0
sono un pirla scusami sono fuso :)
No problem ;)
Scusami ma nel dominio non dovrebbe essere escluso il punto 1 ? renderebbe nulla l’equazione no?
Si è la stessa cosa, solo che l’ho raccolto fuori dalla parentesi quadra…
All’inizio della derivata seconda non manca un (5x-3) in modo da aver il 50x•(x-1)•(5x-3)+25x^2•(5x-3)+25x^2•(x-1)•5?