Scarica tutti i 101 studi in formato PDF e sostieni il progetto Matepratica con soli 3,99€: clicca qui per effettuare il pagamento, riceverai subito un link via mail dove poter scaricare uno Zip con tutti gli studi pubblicati sul sito in versione PDF. Per ulteriori info scrivi a info@matepratica.it
Scarica tutti i 101 studi in formato PDF e sostieni il progetto Matepratica con soli 3,99€: clicca qui per effettuare il pagamento, riceverai subito un link via mail dove poter scaricare uno Zip con tutti gli studi pubblicati sul sito in versione PDF. Per ulteriori info scrivi a info@matepratica.it



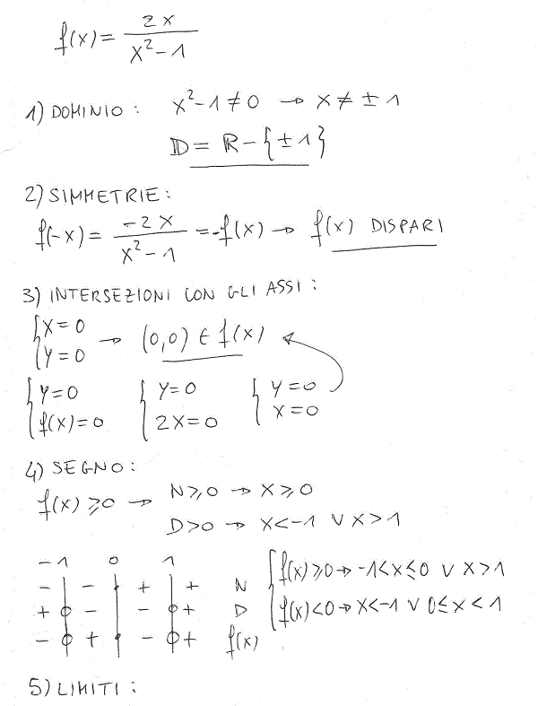
Ciao vorrei chiederti come hai fatto a determinare che la funzione è dispari,mi potresti spiegare per bene il procedimento. Graziee
Chiedo scusa ma se il numeratore deve essere maggiorendi zero, -2x>0
Non si cambia di segno e diventa x<0?
Ciao Albert, mi potresti spiegare da dove hai preso il 2x nela f”(x).A me mi viene così:
f”(x)=-4x(x²-1)²-2(-2x-2)(x²-1)/(x²-1)⁴
Mi poi spiegare dove sbaglio. Grazie
Non hai sbagliato, è una disattenzione sua (ad eccezione del fatto che hai dimenticato un quadrato sulla 3° x), il resto è corretto e la soluzione viene: 4x(x2+3)/(x2-1)3
Ei ciao, volevo chiederti, quale passaggio hai svolto per arrivare a dire che c’è asintoto orizzontale, y=0?
a quanto ho capito la forma indeterminata di un numero su infinito è proprio 0.
ma come si fa la derivata prima?
il dominio nn dovrebbe essere x diverso radice +/- 1 ??
grazie mille
il dominio non dovrebbe essere x^2-1 diverso da 0 —>x^2diverso+1—>xdiverso+/- radice di 1??
Grazie mille!
ciao alber xk su la deriva 2 fai cosi ,è possibile che se racolgo (x2-1)(2x) e lo divido su tutti me venga alla fine come risultato 10x^3/(x^2-1) ????
ciao albert , scusami mi potresti fare questo studio de funzione appena arrivo alla derivata prima mi perdo la funzione è : x2-x/x+2
Questo commento è stato eliminato dall’autore.
Ciaoo.. mi poi spiegare la derivata prima.. nn mi torna.. se il primo passaggio è .. 2*(x^2-1)-(2x)*2x/(x^2-1)^2… il passaggio dopo qual è? ?
ciao Albert,scusa non capisco come svogli la derivata seconda…nel raccoglimento totale del numeratore non dovresti mettere anche un 4 fuori facendolo venire 4x(x^4+2x^2-3)?e dopo non capisco come si svolge ponendolo maggiore o uguale a zero…grazie in anticipo
Ciao scusa non riesco a capire il procedimento adoperato nel calcolo dell’asintoto verticale…
Per x->1 o x->-1 il denominatore si annulla, mentre il numeratore tende a 2.
Di conseguenza lim 2/0= inf
xkè nello studio dei segni ponendo la y=0 nn studi tutta la funzione??
perchè essendo f(x) una frazione, y=0 quando si annulla il numeratore
ciao Albert, quando studi il segno, f(x) >= 0 è giusto. Ma quando studi f(x)<0 = x < -1 V 0 <= x < 1 la x compresa tra zero ed uno è soltano maggiore a zero e non maggiore_uguale a 0. Giusto? Un’ultima cosa, quando studia il segno, come si fa a stabilire la f(x) >= 0 o f(x)> 0 ?? cioè in alcuni casi studi maggiore uguale a zero ed in altri soltanto maggiore di zero. Grazie e coplimenti per il sito e per la pazienza! ;)
Si, c’è un’imperfezione sull’ “uguale a zero”.
Se hai già fatto le intersezioni con l’asse x (f(x)=0) ti basta studiare f(x)>0. Se invece studi f(x)>=0 ti ritrovi le intersezioni…quindi non cambia niente.
ciao Albert, non riesco a capire come mai non ci sono ne massimi ne minimi….
perchè la derivata è sempre negativa, quindi la funzione sempre decrescente
scusa,A(0,-1)?
f(x)=y=0 quando 2x=0 ovvero quando x=0
ciao scusa la domanda…quando ti calcoli il segno,il primo punto che troviamo non dovrebbe essere A(0,1)??perchè invece a te risulta 0,0??
scusa se tu fai lim per x che tende a -1 da sinistra com’è che ti viene -infinito?? non dovrebbe venire +infinito?? non capisco
Viene:
(2(-1))/((-1-)^2 -1)=
= -2/((1+) -1)=
= -2/(0+) = – inf
ciao albert credo ci sia un errore…la funzione non è ne pari ne dispari….-f(x)=-2x/x^2+1 non -1… sbaglio???
Se metti un meno davanti alla frazione lo puoi poi trasferire o al numeratore:
-f(x)=-2x/x^2-1
o al denominatore:
-f(x)=2x/(-x^2+1)
In ogni caso la funzione è dispari ;)
Non capisco come possa essere dispari. Se metto il meno al numeratore o al denominatore non ottengo -f(x)
ciao albert non riesco a capire nemmeno io come faccia a venire dispari
non riesco a capire perchè il punto di flesso è (0,0)
Perchè in x=0:
– la derivata seconda si annulla
– c’è un cambio di concavità, ovvero in un intorno di zero per x<0 f”>0 e per x>0 f”<0.
ciaooo!! nella derivata seconda perchè al numeratore (alla fine) trovo 2x?? il rapporto non si fa f'(x)*g(x)- f(x)*g'(x)/(g(x))^2 ??
grazie!
La tua formula è corretta, in particolare:
g'(x)=2(x^2-1)(2x)=(2x^2-2)(2x)
dove 2x è la derivata della funzione interna (x^2-1)
ciao albert! non capisco come hai sviluppato lo studio della derivata prima, potresti aiutarmi a capirlo?
Raccogliendo il -2 al numeratore la derivata vale:
f'(x)=(-2(x^2+1))/(x^2-1)^2
Sia 2(x^2+1) sia (x^2-1)^2 sono sempre positivi, quindi, essendoci un meno davanti, la derivata è sempre negativa.
ciao, potresti spiegarmi come fai a trovare l’asintoto orizzontale che è uguale a zero? perchè non riesco proprio a calcolare il limite
Raccogli la x di grado massimo al denominatore:
(2x)/(x^2(1-1/x^2))=
= 2/(x(1-1/x^2))=
= 2/(inf*(1-1/inf))=
= 2/(inf*(1-0))=
= 2/(inf*1)= 2/inf = 0
Qui trovi esercizi svolti sui limiti di funzioni razionali fratte:
http://www.matepratica.info/2012/02/limiti-di-funzioni-razionali-fratte.html
http://www.matepratica.info/2012/02/limiti-di-funzioni-razionali-fratte_24.html
tks
Ciao Albert, complimenti vivissimi per il sito, è fantastico!!!
Un consiglio: Ho notato che nelle razionali fratte a volte studi il segno > di 0 mentre altre lo studi >= qual’è la regola?
Grazie e in bocca al lupo.
Ciao! Grazie a te, e crepi! ;)
Non cambia molto: se le intersezioni con l’asse x le hai già trovate al punto 3, nello studio del segno basta porre f(x)>0. In questo esercizio invece, nonostante io abbia già trovato l’unica intersezione con l’asse x in (0;0) al punto 3, ho posto f(x)>=0 ritrovando il punto x=0 in cui f si annulla.
Ciao Michele,
penso tu ti riferisca allo studio del segno, quando pongo il denominatore maggiore di zero:
x^2 -1 >0
è una disequazione di secondo grado:
la pongo uguale a zero e trovo x=-1 e x=+1
So che y=x^2 -1 è una parabola rivolta verso l’alto che interseca l’asse x nei punti x=-1 e x=+1, quindi è positiva per valori esterni.
ciao vorrei farti una domanda come faccio a sapere quando: la X e compresa tra +1 e -1, o quando e valida per X<-1 e X>1?? grazie michele