Scarica tutti i 101 studi in formato PDF e sostieni il progetto Matepratica con soli 3,99€: clicca qui per effettuare il pagamento, riceverai subito un link via mail dove poter scaricare uno Zip con tutti gli studi pubblicati sul sito in versione PDF. Per ulteriori info scrivi a info@matepratica.it
Scarica tutti i 101 studi in formato PDF e sostieni il progetto Matepratica con soli 3,99€: clicca qui per effettuare il pagamento, riceverai subito un link via mail dove poter scaricare uno Zip con tutti gli studi pubblicati sul sito in versione PDF. Per ulteriori info scrivi a info@matepratica.it



Edit 2: errore mio nel leggere velocemente lo svolgimento e non aver visto la D invece che la R.
Cancellate pure il commento ;)
Ciao albert sei un grandissimo!
Io invece in matematica sono impedito ehehehe… ti sto scrivendo oltre che per farti i complimenti, perchè non riesco a capire il passaggio che hai fatto nella derivata seconda, quando hai raccolto (x-2)^3 al numeratore. Che fine ha fatto il -2 iniziale? Potresti scrivermi i passaggi?
Ancora grazie!
il -2 iniziale ha moltiplicato per una volta (x-2) per farti mettere in comune (x-2)^3.quindi…ti trovi al numeratore con (x-2)^3(8x-16-2x+4)….poi hai (x-2)^3(6x-12), espliciti il 6 e ti trovi con:
(x-2)^3 per 6(x-2) quindi avrai 6(x-2)^4….discuti maggiore uguale a 0
CIAO ALBERT SCUSA IL DISTURBO, MA VOLEVO SAPERE QND TROVI IL SEGNO XK ALCUNE VOLTE METTI MAGGIORE UGUALE E XK ALCUNE VOLTE SOLO MAGGIORE
è la stessa cosa: se metto anche l’uguale ritrovo le eventuali intersezioni con l’asse x del punto 2.
ciao albert senti ,mi puoi dare possibilmente una motivazione sul fatto che non ci sia un max e un min relativo?
ciao albert, di nuovo complimenti :)
Mi potresti spiegare come hai svolto la derivata seconda y” ??
cioè da dove è uscito questo: (x – 2)^3 (-2x + 4 + 8x – 16) ???
grazie infinite!!!
ho raccolto al numeratore (x – 2)^3, e trascurato il denominatore perchè sempre positivo (visto che nel secondo passaggio sto già studiando il segno)
Ciao, scusa mi potresti spiegare meglio il segno per favore grazie!
numeratore e denominatore sono entrambi sempre positivi, per cui la frazione (la funzione) è sempre positiva
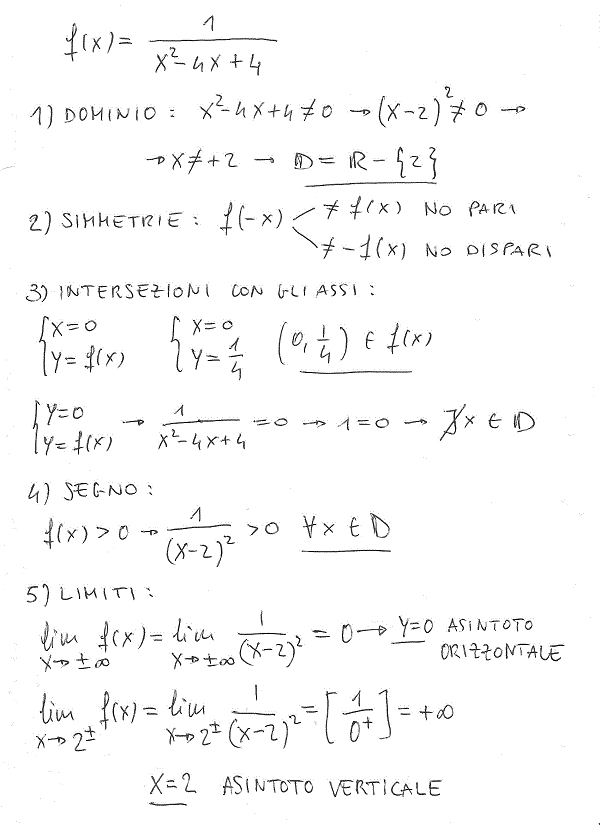
Scusate ma nella derivata prima dopo aver applicato la formula per la divisione, trovo come risultato x^2-6x+8 tutto fratto (x^2-4x+4)^2
Raccolgo i vari elementi e dopo aver semplificato vado a trovare come risultato finale (x-4) / (x-2)^3
Eh purtroppo hai sbagliato: casomai se vuoi semplificare alla fine ottieni -2/(x-2)^3
http://www.wolframalpha.com/input/?i=der+1%2F%28x^2-4x%2B4%29+
ciao albert! vorrei sapere perchè negli studi della derivata prima prendi sempre in considerazione solo il numeratore, grazie =)
Perchè il denominatore è sempre positivo, essendo una potenza di esponente pari.
Ciao Anonimo/i,
1)
Se al posto di x sostituisci +o- infinito al denominatore ottieni
(+o- inf)^2 = +inf
Poi 1/+inf = 0
2)
La derivata seconda è maggiore o uguale a zero quando il suo numeratore è maggiore o uguale a zero (infatti il denominatore è alla 8 e quindi sempre positivo). Al numeratore raccolgo (x-2)^3 e dentro parentesi mi resta (-2x+4+8x-16)
non ho capito la derivata seconda
seconda riga quando viene messa >=0
grazie mille!
Ciao! volevo chiederti perchè il limite 1/(x-2)^2 torna 0?(asintoto orizzontale)
Ciao Brenda,
no, è giusta così. Poi tieni conto che se aggiungi un altro ramo dove dici oltre a quelli esistenti non disegni più una funzione…perchè da x=2 in poi avresti due y per ogni x (in contraddizione con il concetto di funzione)
ciao albert! ho un dubbio: non ci dovrebbe essere un altro ramo di funzione tra l’asintoto verticale x=2 e l’asintoto orizzontale y=0? (in basso a destra intendo)
Per calcolarla devi usare la formula di derivazione delle funzioni fratte:
f=N/D –> f’=(N’D-ND’)/D^2
ciao albert, ti vorrei chiedere se per questo esercizio potessi spiegarmi la derivata che proprio non mi torna..ne approfitto per farti i complimenti per questo bel lavoro