Scarica tutti i 101 studi in formato PDF e sostieni il progetto Matepratica con soli 3,99€: clicca qui per effettuare il pagamento, riceverai subito un link via mail dove poter scaricare uno Zip con tutti gli studi pubblicati sul sito in versione PDF. Per ulteriori info scrivi a info@matepratica.it
Scarica tutti i 101 studi in formato PDF e sostieni il progetto Matepratica con soli 3,99€: clicca qui per effettuare il pagamento, riceverai subito un link via mail dove poter scaricare uno Zip con tutti gli studi pubblicati sul sito in versione PDF. Per ulteriori info scrivi a info@matepratica.it



Ciao Albert, con l’asintoto verticale del limite per X che tende a -2 non mi trovo, secondo i miei calcoli l’asintoto verticale a -2 non dovrebbe esserci perché sostituendo -2 nella funzione il denominatore dovrebbe uscire 4+2-2 che non fa 0 quindi non capisco perché tu ti trovi x=-2 asintoto verticale, me lo puoi spiegare? Grazie :)
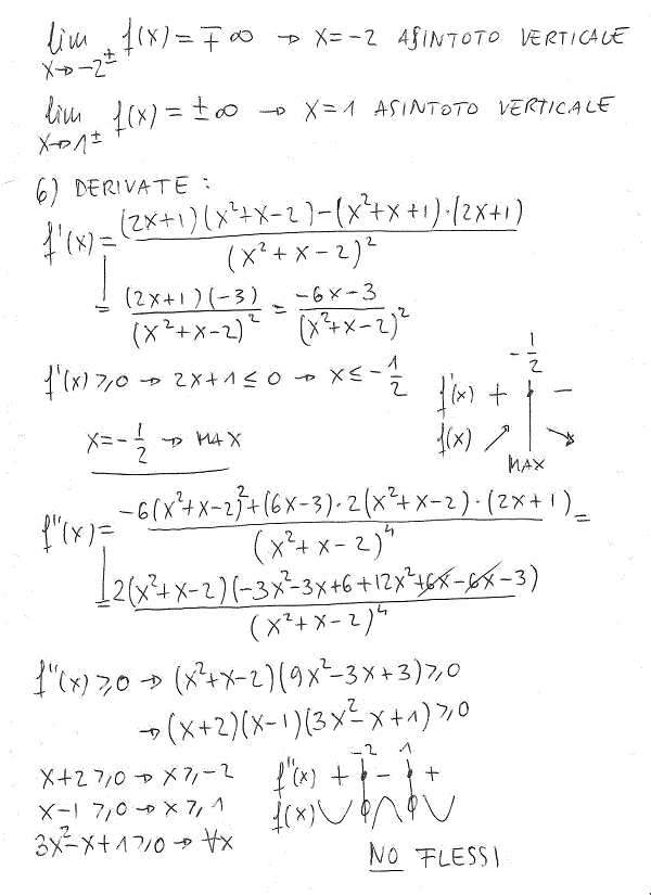
Ciao Albert. Il numeratore della derivata prima viene -6x -3, perchè poi nel calcolo della derivata seconda hai scritto ( 6x -3 )?
ciao, mi rendo conto che la domanda è molto banale: ma da dove hai ricavato il valori del dominio?
perchè il delta de denominatore è negativo e non so come procedere, hai usato il trinomio speciale (somma e prodotto)?
il delta del denominatore è positivo, è 9.. inoltre i valori del dominio li ha ricavati ponendo x+2>0 e x-1>0
il numeratore doveva essere x^2 +x -1 e non +1…
Perchè nello studio del segno della derivata prima non poniamo il denominatore maggiore di zero? Perchè si studia solo il numeratore? Grazie in anticipo.
ciao albert, il limite destro per x che tende a -2 mi viene +infinito, potresti scrivermi i passaggi o il criterio seguito in modo da vedere dove sbaglio?
grazie in anticipo e complimenti per il sito!
ho lo stesso problema anche io .. qualcuno che ci aiuta ???
Ciao ma nel primo limiti non dovrebbe uscire 0 come asintoto orizzontale?
ciao albert complimenti per il sito ! volevo chiederti una domanda :
nella derivata prima non riesco a capire come sei arrivato dalla prima riga al (2x+1) (-3) / ..
Grazie in anticipo
ho lo stesso problema nel capirlo anche io … qualcuno che risponda per favore
Questo commento è stato eliminato dall’autore.
Ciao Albert!
Non riesco a capire da dove proviene il 3 del secondo passaggio nella derivata prima! Me lo potresti spiegare?
Grazie mille!!
raccogli (2x+1) e fai i conti: x^2 e x si semplificano, ti resta -2-1=-3
ciao Albert, ciò questa equazione: x^2-x+1/x
in questo caso il segno della funzione per il numeratore come sarebbe?
Grazie!!
x^2-x+1 ha delta negativo quindi è sempre positivo
Ciao Albert,
Vorrei porti una domanda… Perchè nel calcolo dei massimi e minimi poni 2x-1 minore uguale a 0? Ciò comporta che -1\2 viene visto come massimo e non come un minimo.. Grazie in anticipo per la risposta.
Pongo meglio la domanda… Perchè svolgendo la derivata prima il denominatore viene -6x +3? Che poi in realtà sarebbe -6x-3.. Teoricamente il tuo passaggio per far divenire la diseguazione minore uguale sta nel cambiare la x di segno giusto? Ma quel che mi cheido è perchè viene -6x-3?
Si hai ragione (vedi commento 1) comunque adesso ho modificato ;)
Per quanto riguarda il passaggio ho
f’>0 -> -3(2x+1)>0 -> 2x+1<0
ciao Albert, credo ci sia un errore nella derivata prima:
scrivi (2x+1)(-3)= -6x+3
invece dovrebbe essere (2x+1)(-3)= -6x-3
questo ti pregiudica il calcolo della derivata seconda
Si grazie della segnalazione: cambia solo un coefficiente:
http://www.wolframalpha.com/input/?i=der+%28-6x%2B3%29%2F%28x^2%2Bx-2%29^2
e le considerazioni finali della derivata seconda sono giuste…
ciao Albert, gentilmente, potresti spiegarmi il secondo passaggio della derivata seconda? grazie mille
Raccolgo 2(x^2+x-2) e al numeratore mi rimane:
2(x^2+x-2)(-3(x^2+x-2)+(6x-3)(2x+1))
e facendo i conti nella parentesi ottengo il secondo passaggio così come scritto nello svolgimento.
Ciao Anonimo,
perchè x^2 +x +1 ha delta negativo, di conseguenza x^2 +x +1 >0 ha come soluzione tutto R
non è negativo il delta
Ciao Albert, perche nello studio del segno al numeratore ti esce per ogni x appartenente al dominio e non x maggiore di meno 1/2?? :) grazie :)
Si grazie, anche se poi la valutazione del segno è giusta, perchè riferita al passaggio precedente.
Ciao Albert, ti segnalo un errorino nella derivata prima.. Il numeratore dovrebbe essere -6x-3 ;)