Scarica tutti i 101 studi in formato PDF e sostieni il progetto Matepratica con soli 3,99€: clicca qui per effettuare il pagamento, riceverai subito un link via mail dove poter scaricare uno Zip con tutti gli studi pubblicati sul sito in versione PDF. Per ulteriori info scrivi a info@matepratica.it
Scarica tutti i 101 studi in formato PDF e sostieni il progetto Matepratica con soli 3,99€: clicca qui per effettuare il pagamento, riceverai subito un link via mail dove poter scaricare uno Zip con tutti gli studi pubblicati sul sito in versione PDF. Per ulteriori info scrivi a info@matepratica.it



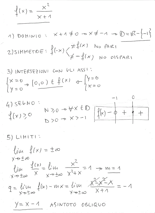
ciao potresti per cortesia spiegarmi i passaggi dell’asintoto obliquo, in particolare non capisco perchè la x^2 al denominatore si annulla con un altra negativa; non dovrei aggiungere la denominatore solo -x?
grazie
ma sei nik radogna?
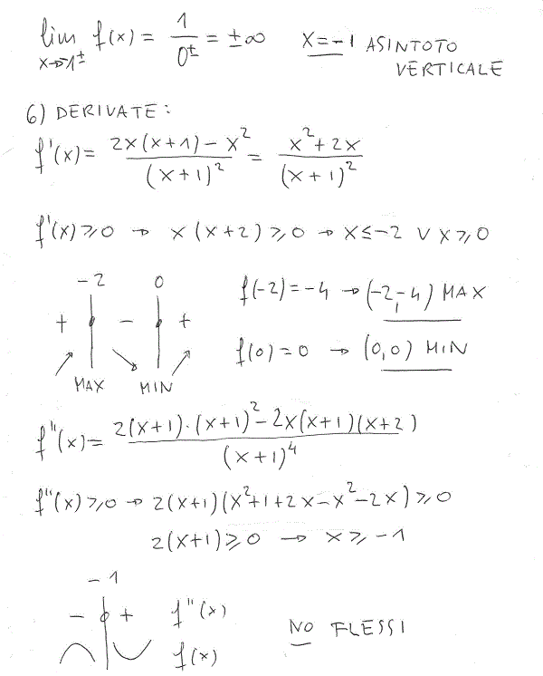
Salve, vorrei sapere sui ri saltati della derivata prima precisamente su f(-2)!
Grazie e complimenti per il sito!
complimenti x il tuo lavoro :)
vorrei chiederti soltanto come hai calcolato la derivata seconda
grazie
Questo commento è stato eliminato dall’autore.
Perchè nello studio del segno della derivata prima non viene preso in considerazione il denominatore?
pongo la stessa domanda di elisa
pensala come fosse un’equazione di secondo grado e trovi i suoi valori con la formula di secondo grado… Poi prendi i due valori e li metti in ordine crescente ( -2 e 0 ) fai la regola della parabola ( dove prendi positivi i valori esterni se x^2 è positivo..dunque SI) ed ecco che ti escono quei due valori di positività!
perchè nella derivata prima posta maggiore uguale a 0
x(x+2) >= 0 x>=0 (ed è ok)….ma x<= -2 come fai a cambiare il segno maggiore in minore?
e poi.. per quanto riguarda gli asintoti.. come capisco che devo calcolare subito l’una e non l’altra (per esempio, in qst esercizio, si cerca immediatamente se vi è un asintoto obliquo… e perché non calcolare prima la verticale o l’orizzontale?)
cioè vado a piacere o c’è una semplice ragione?
qualcuno mi risponderà probabilmente che si deduce dai risultati ottenute dalle intersezioni degli assi e dei segni.. ma io ci ho capito poco o niente di sto studio di funzione. Se, per piacere, c’è un cristiano che me lo spiega per benino……
Tu non “cercare” gli asintoti: fai semplicemente i limiti ai confini del dominio, poi se saranno asintoti verranno fuori da soli (interpretando i risultati dei limiti).
Detto questo però, se lim (x-> +o- inf) f(x) = +o- inf allora devi cercare eventuali asintoti obliqui. E questo vale al di là della presenza o meno di asintoti verticali…
Nell’intersezione degli assi, ma:
non dovrebbe essere
y = -1 ???
La funzione si annulla qunado si annulla il numeratore x^2, quindi y=0 -> x=0
E viceversa, perchè se x=0 -> f(x)=y=0
qualcuno mi spiega come ha sviluppato la derivata seconda?
Cos’è che non ti è chiaro, il calcolo o lo studio del segno?
GRAZIE ALBERT, MA DOPO UN ATTENTO RAGIONAMENTO CI SONO ARRIVATO!!! CMQ I MIEI COMPLIMENTI PER IL SITO, DAVVERO MOLTO UTILE..
Cosa intendi per N e D?
Numeratore e denominatore