Scarica tutti i 101 studi in formato PDF e sostieni il progetto Matepratica con soli 3,99€: clicca qui per effettuare il pagamento, riceverai subito un link via mail dove poter scaricare uno Zip con tutti gli studi pubblicati sul sito in versione PDF. Per ulteriori info scrivi a info@matepratica.it
Scarica tutti i 101 studi in formato PDF e sostieni il progetto Matepratica con soli 3,99€: clicca qui per effettuare il pagamento, riceverai subito un link via mail dove poter scaricare uno Zip con tutti gli studi pubblicati sul sito in versione PDF. Per ulteriori info scrivi a info@matepratica.it




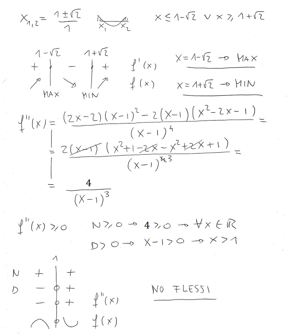
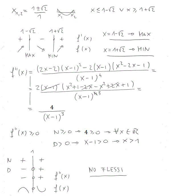
Il calcolo del segno di f'(x) è sbagliato. Delta viene 16, perciò x 1 e 2 vengono -1 e 3. Di conseguenza, i punti di massimo e minimo sono: (-1;-1) e (3;5)
Nella derivata prima, come hai fatto a calcolarti i punti MAX e MIN??
Salve,gentilmente può spiegarmi perchè nello studio della derivata prima si prendono i valori esterni?
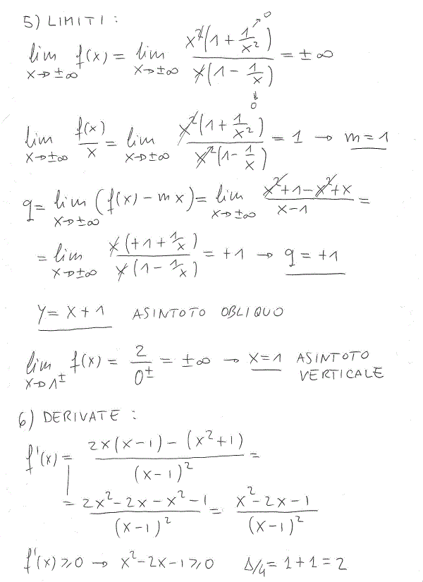
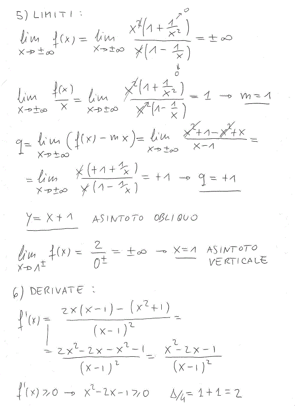
Non mi è chiaro lo svolgimento della m .
E della q …
Dopo aver posto f(x)’ >=0, perchè non studi anche il denominatore della funzione??
perchè, nel dominio, è sempre positivo, essendo un quadrato
mi potresti gentilmente spiegare il tezo punto dove c’e la o barrata
La O barrata indica l’insieme vuoto (nessuna soluzione)
Ciao Albert.. nel 6° punto quando calcoli il delta di f'(x) come fa a tornarti 2? a me torna 8 e anche quando calcoli le x a me viene (2+-sqrt(8))/2.. dove sbaglio?
Ho usato la formula ridotta con il delta quarti. è giusta anche la tua soluzione: se vedi rad8=2rad2 e poi semplifichi ti torna 1+-rad2 come venuto a me.
Ma una volta che ottieni y=x+1 come bisogna rappresentarlo sul grafico l’asintoto obliquo?
Un asintoto è una retta: y=mx+q. Il modo più semplice per rappresentarla è andare per punti, per esempio:
x=0 -> y=0+1=1 -> (0;1)
x=3 -> y=3+1=4 -> (3;4)
Rappresenti i due punti e tracci l’unica retta che passa per entrambi…
ciao albert!..in base a che cosa svolgi il limite per ricavare l’asintoto verticale?…scusa la mia ignoranza, ma io dopo aver ricavato l’obliquo sarei passato direttamente alle derivate…non capisco in base a cosa devo ricavare l’asintoto verticale o meno…
la funzione non esiste per x=1 (punto di discontinuità): devi scoprire cosa accade alla funzione nelle “vicinanze di quel punto”
grz mille Albert
infinito /1 quanto fà? zero o no?
infinito /1 = infinito
La derivata seconda è sbagliata: il risultato finale è 4/(x-1)^3
dopo aver messo in evidenza 2(x-1)..
hai sbagliato a scrivere il contenuto della parentesi
è sbagliato il risultato di (x-1)^2 che è = (x^2 +1 -2x) e non
(2x^2 +1 -2x) spero di essermi spiegato..
comu complimenti perchè tutti questi esercizi con soluzione sono molto ma molto utili
Grazie Gianfranco, ora ho corretto!
ma dove finisce 2(x-1) ne salti uno quello dopo il meno