Scarica tutti i 101 studi in formato PDF e sostieni il progetto Matepratica con soli 3,99€: clicca qui per effettuare il pagamento, riceverai subito un link via mail dove poter scaricare uno Zip con tutti gli studi pubblicati sul sito in versione PDF. Per ulteriori info scrivi a info@matepratica.it
Scarica tutti i 101 studi in formato PDF e sostieni il progetto Matepratica con soli 3,99€: clicca qui per effettuare il pagamento, riceverai subito un link via mail dove poter scaricare uno Zip con tutti gli studi pubblicati sul sito in versione PDF. Per ulteriori info scrivi a info@matepratica.it



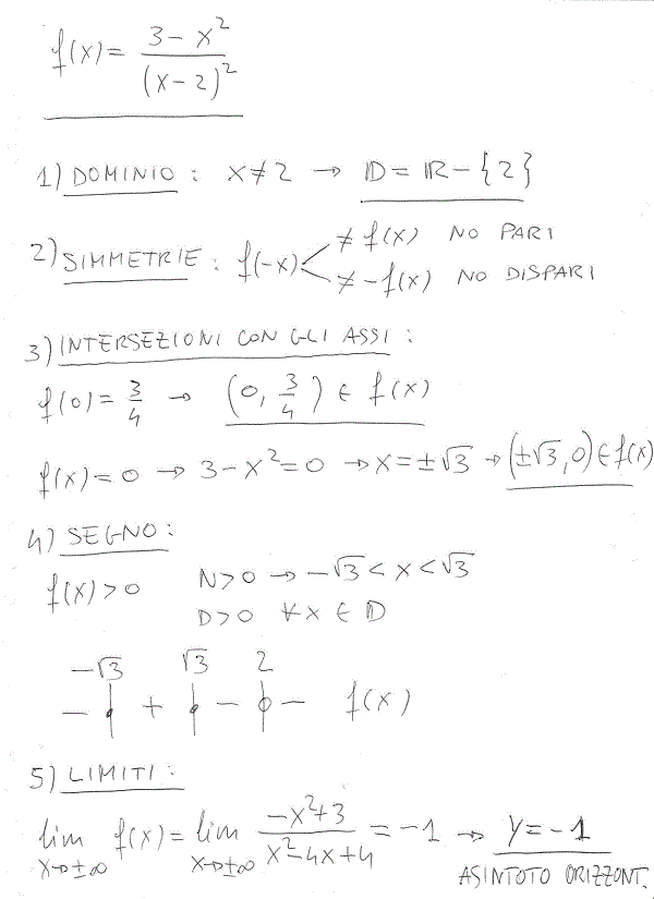
non ho capito perchè vado a fare il limite destro e sinistro di 2
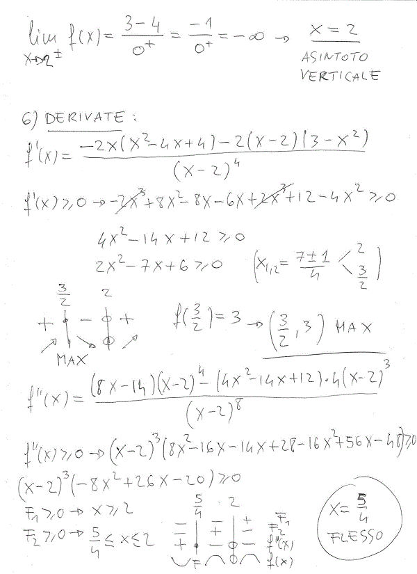
Ma nel calcolare il delta della derivata prima non verrebbe 7+-5 tutto fratto 4??
Salve, vorrei farle una domanda: non capisco perchè si è trovato come punto di massimo solo 3/2;3. Perchè il punto 2 non viene considerato??
Buongiorno, non ho capito come mai la derivata seconda è positiva per x<5/4 e non viceversa.
f2 avendo x^2 negativo è minore di zero per i valori compresi tra 5/4 e 2, perchè nel grafico viene segnato col segno +?
salve scusate una domanda ma è sbagliato semplificare la parentesi messa in evidenza al numeratore(x-2)^3 con il denominatore?perche non lo fate
Albert io nella derivata seconda ho svolto le parentesi e ho fatto poi il Delta normalmente trovando i 2 punti (2) e (5/4) come te.. Come faccio a sapere che devo fare x>= 2 e 5/4<= x <= 2 ? A me verebbe di fare i valori edtremi e basta.. Grazie cmq..
Perché nello studio della derivata seconda si esclude il denominatore cioè x> 2? Grazie.
Ciao Albert, non ho capito bene una cosa… Perché nel grafico quando x tende a +infinito, y tende a -1 da sotto? facendo l’intersezione tra l’asintoto orizzontale e la funzione, trovo un punto di intersezione a (7/2;-1), non dovrebbe quindi tendere a -1 da sopra? (so che è sbagliato ma non capisco perché)
Il fatto che f intersechi l’asintoto in (7/2,-1), punto che puoi notare nel grafico, non significa assolutamente che la funzione tende all’asintoto da sopra per x->+inf. Il fatto che f tenda a y=-1 da sotto si deduce dalla crescenza della funzione per x->+inf (vedi derivata, che è positiva per x>2)
Non ho ben capito per quale motivo la derivata seconda é stata svolta in questo modo, dato che la derivata prima era una funzione lineare: 2x^2-7x+6. La derivata seconda non dovrebbe essere: 4x-7? Grazie in anticipo. :)
2x^2-7x+6 è solo il numeratore della derivata prima, che ha anche denominatore (x-2)^4
grazie a te .
Ciao Anonimo,
effettivamente c’era un’imperfezione, ho modificato, grazie!
semplicemente volevo sapere se erano corretti i segni della derivata seconda .. a me viene diverso (il grafico del segno)
grazie , attendo una tua risposta :)
Scusa non ho capito la domanda, se è una domanda :)
Salve
faccio notare che nella determinazione del flesso abbiamo che f”(x)> 0 per x>2 e (5/2)0 per x<(5/2) +
mentre il seguito è – , –