Scarica tutti i 101 studi in formato PDF e sostieni il progetto Matepratica con soli 3,99€: clicca qui per effettuare il pagamento, riceverai subito un link via mail dove poter scaricare uno Zip con tutti gli studi pubblicati sul sito in versione PDF. Per ulteriori info scrivi a info@matepratica.it
Scarica tutti i 101 studi in formato PDF e sostieni il progetto Matepratica con soli 3,99€: clicca qui per effettuare il pagamento, riceverai subito un link via mail dove poter scaricare uno Zip con tutti gli studi pubblicati sul sito in versione PDF. Per ulteriori info scrivi a info@matepratica.it



perché alla derivata prima esce 4x^3 e non 3x^3 ?
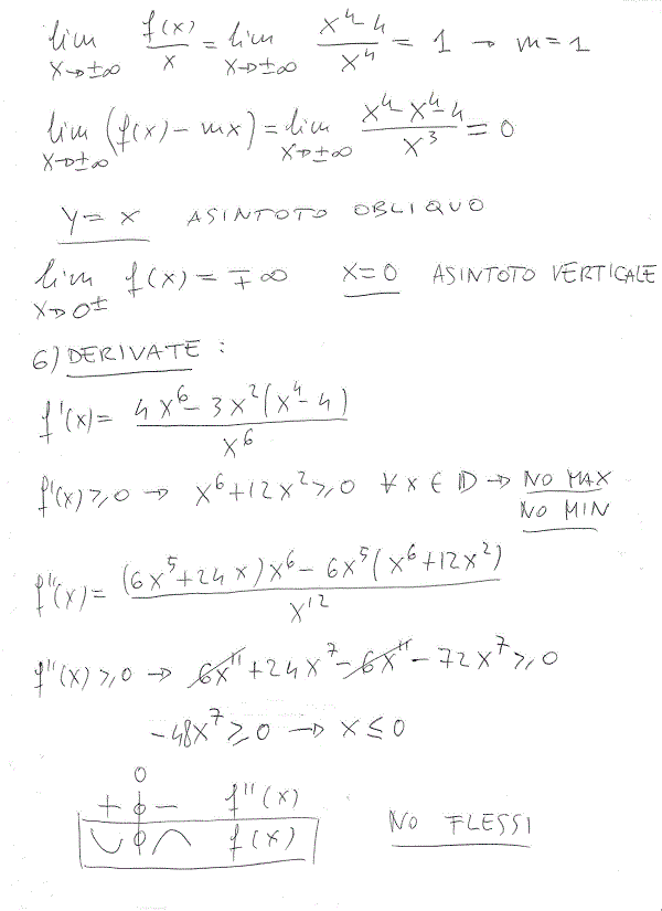
Come Giovanni Rossi, forse manca il denominatore nella derivata seconda: anche a me risulta -48/x^5. Poi non cambia niente nello studio delle convessità, ma per chiarezza…
Questo commento è stato eliminato dall’autore.
la derivata seconda credo sia -48/(x^5)
scusami,una domanda..dell’es 44 mi faresti vedere i passaggi della derivata prima?
GRAZIE
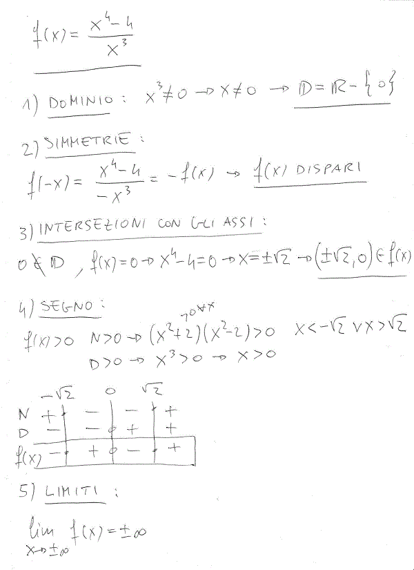
N=x^4-4 -> N’=4x^3
D=x^3 -> 3x^2
f’=(N’D-ND’)/D^2=
= (4x^6 -(x^4-4)3x^2)/x^6 =
= (x^6 +12x^2)/ x^6
che è positiva quando è positivo il numeratore (infatti x^6 è sempre positivo nel dominio)
grazie mille albert se stato come una manna dal cielo prof Michele Leone.
grazie mille, utilissimi andrea s.
Corretto, ora è giusto.
è sbagliata la determinazione di q