Scarica tutti i 101 studi in formato PDF e sostieni il progetto Matepratica con soli 3,99€: clicca qui per effettuare il pagamento, riceverai subito un link via mail dove poter scaricare uno Zip con tutti gli studi pubblicati sul sito in versione PDF. Per ulteriori info scrivi a info@matepratica.it
Scarica tutti i 101 studi in formato PDF e sostieni il progetto Matepratica con soli 3,99€: clicca qui per effettuare il pagamento, riceverai subito un link via mail dove poter scaricare uno Zip con tutti gli studi pubblicati sul sito in versione PDF. Per ulteriori info scrivi a info@matepratica.it



Wei scusa ho riguardato la formula ^^ Nel caso di equazioni fratte moltiplico per 1/x e non divido il tutto per ‘x’. Grazie mille lo stesso! :D
Ciao, avrei una domanda :l
Ma quando calcoli l’asintoto obliquo tramite il lim di f(x)/x non dovresti ottenere 1+3x^4 / x^2 poiche` f(x)/x = 1+3x^4/ (x^3 / x ) quindi faccio il reciproco moltiplicando per ‘x’ al numeratore, e semplifico con l’x al denominatore che diviene cosi` x^2 ? Sbaglio io il procedimento? cioe` invece di dividere f(x) / x devo fare f(x) * 1/x ??
Ciao grazie mille.
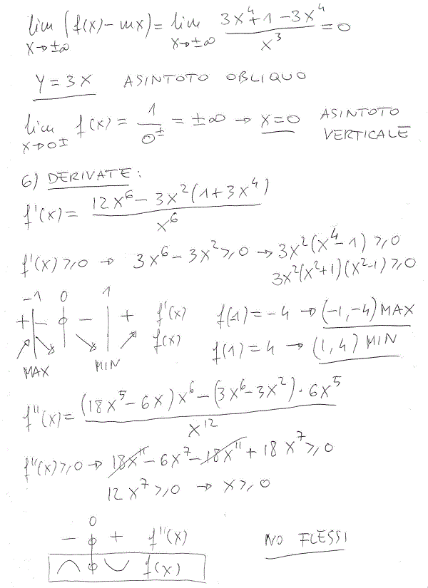
Ciao Albert non ho capito la derivata prima
y’=[12x3x^2(1+3x^4)]÷x^6… Ok fin qui mi trovo…
La pongo maggiore di zero e dico che x^6 e sempre maggiore e anche 12x^6ok ma il prodotto di -3x^2(1+3x^4)=-3x^2-9x^6?
Salve, sarei anche io interessata a sapere come hai svolto la derivata prima. Perché dopo mi perdo completamente… Grazie :)
Salve scusa il disturbo….mi puoi spiegare perché, nello Studio del Segno, al numeratore non viene insieme vuoto e quindi tutto negativo? grazie in anticipo
Albert buona sera… come fa 1/x^3 a venire 3x?? grassie!
Ciao Albert! Potresti scrivermi i passaggi della derivata prima per favore? Il primo passaggio mi viene identico al tuo poi però dal secondo passaggio in poi è tutto diverso! Cioè a me viene 12x^6 – 3x^2 – 9x^8 tutto fratto x^6
mi puoi spiegare come hai fatto l intersezione con gli assi?
non ci sono intersezioni con l’asse y perchè x=0 non appartiene al dominio.
non ci sono intersezioni con l’asse x perchè 1+3x^4 non può essere mai = 0 visto che è somma di due quantità positive
perchè non cercete l’intersezione con y=0?
l’ho cercata: ponendo f(x)=0
non capisco come fa a venirti alla derivata prima, per il max e min, un “cimitero” del genere. puoi spiegare passaggio per passaggio? grazie.
il denominatore è sempre positivo, mentre al numeratore raccolgo 3x^2 che è anche lui sempre positivo. Dentro parentesi al numeratore mi resta x^4-1 che è ancora scomponibile come (x^2+1) -sempre positivo- per (x^2-1). Il segno della derivata prima corrisponde quindi col segno di x^2-1
non capisco bene il calcolo di q, non si dovrebbe moltiplicare 3x, cioè mx, per il denominatore, x^3 ?
Si c’era un errore che ho corretto…
Salve! non mi trovo con il calcolo dell’asintoto obliquo! m=3 sono daccordo ma per il q non mi trovo! a me viene f(x) – 3x
pongo mcm l’ x^3 e viene facendo i calcoli 1+3x^4-3x^4 / x^3
alla fine eliminando i due membri opposti viene 1/x^3
Mi puoi spiegare?
Hai ragione! Ho modificato, grazie!
io invece nn capisco il calcolo della m….a me viene: x+3x^5+x^3/x^4
Perchè ti viene così? Devi semplicemente moltiplicare per x il denominatore di f(x)…
corretto…ora anke a me viene 3 :)
Bene ;)
xkè l’asintoto orizzontale da infinito? potresti scrivermi tutto il passaggio? grazieee
Perchè “vince” l’infinito al numeratore visto che è di quarto grado, rispetto al terzo grado del denominatore. Puoi anche fare de l’hopital 3 volte, oppure raccogliere e semplificare la x di grado massimo al num e den.
nn mi trovo….mettendo in evidenza x^4 al numeratore ho: x^4(1/x^4+3) e poi al denominatore x^3…il risultato viene 3/infinito o sto sbagliando?
Al numeratore hai x^4(1/x^4+3) e al denominatore x^3. Semplifichi x^3 con x^4 e ti resta solo:
x(1/x^4+3)= inf * 3 = inf