Scarica tutti i 101 studi in formato PDF e sostieni il progetto Matepratica con soli 3,99€: clicca qui per effettuare il pagamento, riceverai subito un link via mail dove poter scaricare uno Zip con tutti gli studi pubblicati sul sito in versione PDF. Per ulteriori info scrivi a info@matepratica.it
Scarica tutti i 101 studi in formato PDF e sostieni il progetto Matepratica con soli 3,99€: clicca qui per effettuare il pagamento, riceverai subito un link via mail dove poter scaricare uno Zip con tutti gli studi pubblicati sul sito in versione PDF. Per ulteriori info scrivi a info@matepratica.it



Ciao! Non capisco perché nell’asintoto obliquo il numeratore diventa 2x+5.
Grazie, in anticipo, della risposta
cosa significa la notazione delta Unione con un trattino sotto -> insieme vuoto -> no flessi
Perchè applica l’Hopital: deriva numeratore e denominatore. Al denominatore, semplicemente, la derivata di x vale 1; al numeratore, la derivata del log(f(x)) diventa f'(x)/f(x) ovvero quello che vedi
scusate la mia ignoranza ma un numero/inf non tende a 0?? allora perché nel calcolo del’asintoto obliquo fa inf????
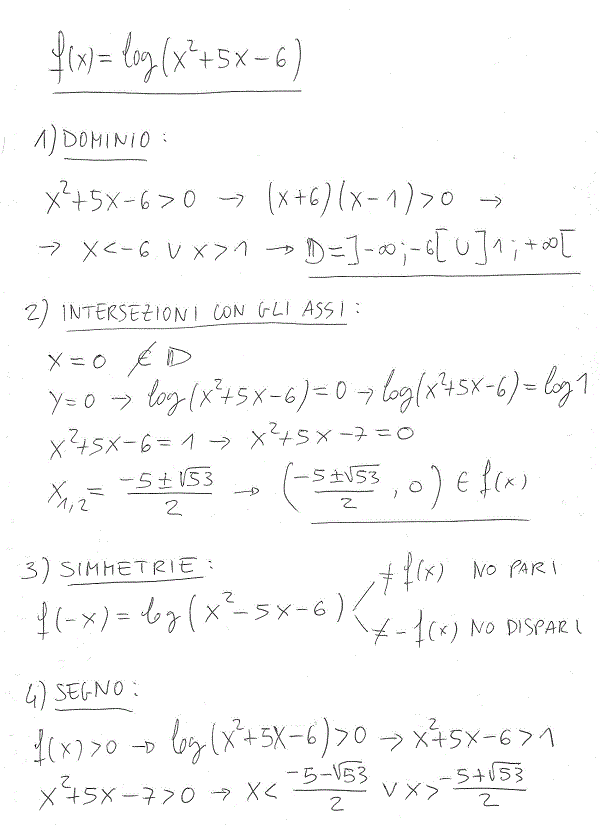
cosa significa D=]-inf;-6[U]1;+inf[ ? mai vista questa scrittura.
Salve, non capisco perchè nello studio del segno f(x)>0 viene fuori f(x)>0 in (-inf, -6) U (1, +inf) ed f(x)+inf f(x)= 0 [Hopital] mentre nel grafico questo limite vale +inf. Devo tenere in considerazione il calcolo classico o quello con de l’Hopital?
scusate, ma il dominio non è x6,risolvendo la disequazionedovrebbe essere +5 e non -5????
Ciao perchè nella derivata prima non consideri -5/2 come punto di massimo dato che annulla derivata prima??
Ma se sostituisci -5/2 alla funzione diventa negativa e non esiste il log di un numero negativo
il limite per x che tende a meno infinito della funzione come si deve svlgere dato che esce una forma indeterminata
Ciao, innanzitutto complimentissimi per il sito! Vorrei sapere solo quando svolgi il segno della derivata cosa rappresenta quel -5/2 Grazie!
Grazie. Rappresenta il punto di cambio segno del numeratore della frazione che ti fornisce il segno della derivata. Poi però scopri che in quel punto la funzione non esiste (vedi dominio), quindi non potrà mai essere nè un massimo nè un minimo
ciao Albert.. Puoi spiegarmi in parole povere che significa e come si procede quando il delta è minore di zero?..grazie in anticipo.
Quando il delta di una equazione di secondo grado è minore di zero l’equazione risulta impossibile (non ha soluzioni)
come si costruisce il grafico? grazie
da tutte le info acquisite durante lo studio di funzione ;)
ciao albert puoi spiegarmi come si risolve questa equazione 2x^2logx=0.
grazie mille in anticipo
CE: x>0
poi usi la legge di annullamento del prodotto:
2x^2=0 -> x=0 (NON accettabile)
logx=0 -> x=1 (unica soluzione)
Salve non ho capito la fine dello studio, dopo aver trovato che il numeratore della della derivata seconda è negativo, come si va avanti? Complimenti per il sito
il numeratore è sempre negativo, il denominatore sempre positivo (è un quadrato), quindi la derivata seconda sempre negativa (-/+=-) e la funzione sempre concava
A me il dominio col delta non viene uguale ma i risultati mi vengono -3 e -2..help me,please!
delta=5^2-4(-6)=49
x1=(-5-7)/2=-12/2=-6
x2=(-5+7)/2=2/2=1
ma il dominio non lo posso risolvere con il delta?
si certo, viene uguale
ciao albert puoi scrivermi tutti i passaggi della derivata prima?
f è una funzione composta dalla funzione esterna (logaritmo) e dalla funzione interna (il trinomio argomento del logaritmo) quindi la derivata vale:
Derivata della funzione esterna per derivata dell’argomento:
f’= 1/(x^2+5x-6) * (2x+5) = (2x+5)/(x^2+5x-6)
Buongiorno volevo chiedere i passaggi del limite F(x)/x fatto con l’Hopital..Grazie mille..
La derivata del numeratore f(x) è
1/(x^2+5x-6) * (2x+5) = (2x+5)/(x^2+5x-6)
La derivata del denominatore x è 1
Quindi
lim f(x)/x= ((2x+5)/(x^2+5x-6)) /1 =
lim (2x+5)/(x^2+5x-6) =
lim (x(2+5/x)) / (x^2(1+5/x-6/x^2))=
lim (2+5/x) / (x(1+5/x-6/x^2))=
(2+0)/(inf*(1+0-0)) = 2/inf= inf
La simbologia prevede che “Log” sia sempre in base 10, “ln” sempre base e, mentre il “log” senza base specificata alcuni testi lo intendono come base 10, altri (ed è il mio caso) come base e.
In ogni caso, qualsiasi sia la base (10 oppure e), il passaggio è:
log(g(x))>0 –> g(x)>1
è sbagliato impostare il segno come x^2+5x-6 >0 ?? non và trattato come logaritmo in base dieci? qui invece è trattato come un logaritmo in base e !! alloranon sarebbe dovuta essere ln f(x) e non log ??? grazie
La funzione logaritmo non esiste quando il suo argomento è negativo.
Quindi logx non esiste per x<0, mentre log(x^2+5x-6) non esiste per x^2+5x-6<0.
ma la funzione logaritmica non esiste minore di O…???? Perchè il grafico c’è anche per le x <0???
è giusta sia la tua che la mia, solo che io salto alcuni passaggi dicendo che 0 = log1
credo che sia sbagliata la scrittura dell’intersezione degli assi per y=0
log(x^2 + 5x -6) =0
e^log(x^2 +5x -6)= e^0
x^2 +5x -6 = 1
ecc..
corretto ?
Ciao,
perchè la funzione logaritmo ha un asintoto verticale (tende a meno infinito) per x che tende a zero da destra. Guarda qui il suo grafico e te ne rendi subito conto:
http://lamatepratica.blogspot.it/2012/04/funzioni-elementari-e-loro-domini.html
Salve Albert…xk al limite di x–> -6 e -1 hai posto log0+ = -∞?