Scarica tutti i 101 studi in formato PDF e sostieni il progetto Matepratica con soli 3,99€: clicca qui per effettuare il pagamento, riceverai subito un link via mail dove poter scaricare uno Zip con tutti gli studi pubblicati sul sito in versione PDF. Per ulteriori info scrivi a info@matepratica.it
Scarica tutti i 101 studi in formato PDF e sostieni il progetto Matepratica con soli 3,99€: clicca qui per effettuare il pagamento, riceverai subito un link via mail dove poter scaricare uno Zip con tutti gli studi pubblicati sul sito in versione PDF. Per ulteriori info scrivi a info@matepratica.it



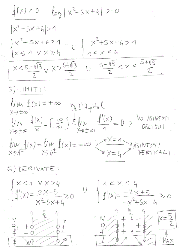
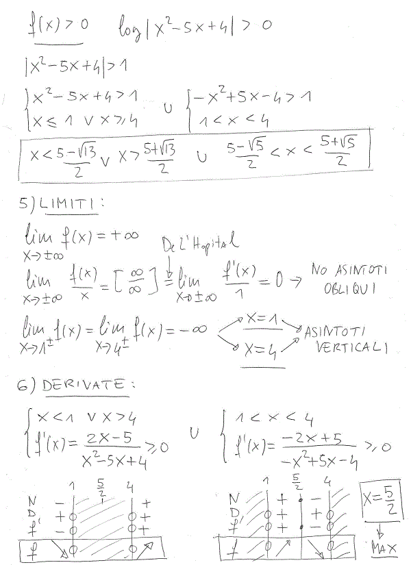
Il grafico dello studio del segno nella seconda risoluzione ,per -x^2+5x-4>1, come fa a venire così
c’è un errore nel segno… nella seconda non è > di 1 ma minore..
Potrebbe spiegarmi perchè i limiti per x->1+ e per x->4+ esce – infinito? grazie
Perchè log(0+)=-inf
Potresti meglio chiarirmi lo studio della derivata, cioè l’uso di entrambi i casi, data la questione modulo. Grazie..
In pratica Per x<1 e x>4 derivo f(x)=log(x^2-5x+4), mentre Per 1<x<4 derivo f(x)=log(-x^2+5x-4)
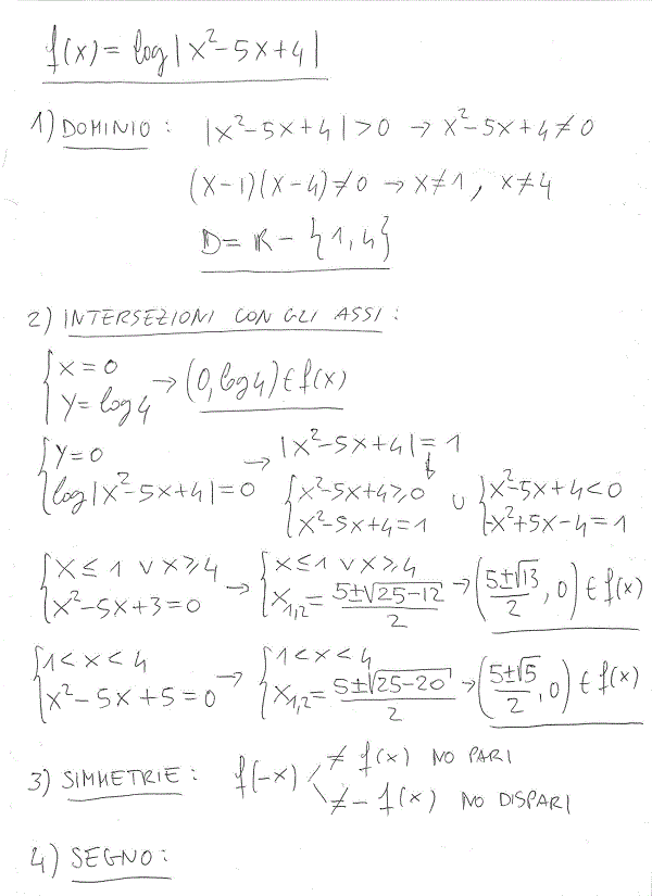
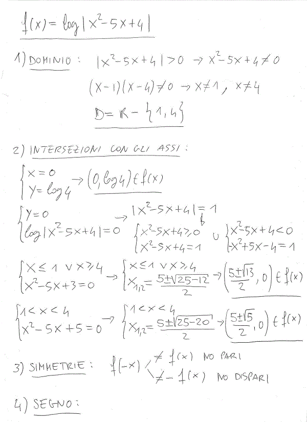
Asse y) Sostituendo x=0 nella funzione iniziale viene y=|4|=4
Asse x) y=0 –> f(x)=0
quindi ln|x^2 -5x +4|=0
Un logaritmo è uguale a zero quando il suo argomento è uguale a 1, quindi:
|x^2 -5x +4|=1
Nella soluzione proposta ho fatto i due casi: quando l’argomento del modulo è maggiore o uguale a zero (per valori esterni tra 1 e 4) tolgo il modulo e lascio tutto come sta (x^2 -5x +4=1 ovvero x^2 -5x +3=0); quando l’argomento del modulo è minore di zero (per valori compresi tra 1 e 4) tolgo il modulo e cambio segno all’argomento (-x^2 +5x -4=1 ovvero x^2 -5x +5=0). Ottengo 4 soluzioni, due per ogni equazione.
Si può anche accorciare i calcoli sfruttando la formula:
|g(x)|=k, k>0 –> g(x)=+-k
quindi:
|x^2 -5x +4|=1 –> x^2 -5x +4=+-1
che genera appunto:
x^2 -5x +3=0 e
x^2 -5x +5=0
Non capisco l’intersezione con gli assi…
No perchè ho tolto il modulo e cambiato segni, ma la disequazione “al di fuori del modulo” resta la stessa.
Salve, come mai nello studio del segno quando si studia la parte negativa del modulo l’argomento: -x^2+5x-4>1. il segno non dovrebbe essere minore??
Ciao Anonimo,
dal punto di vista del logaritmo, giustamente il suo argomento deve essere strettamente maggiore di zero. Ma un valore assoluto, quando esiste, è sempre maggiore o uguale a zero. Dobbiamo solo preoccuparci del dominio della funzione interna x^2-5x+4, che è tutto R, e del fatto che non si annulli.
salve potrebbe spiegarmi perchè nel dominio della funzione anzichè risolvere la disequazione x^2-5x+4>0 controlla dove sia diverso da zero?
La derivata seconda non è stata svolta per comodità, ma il grafico è giusto. Di conseguenza se la svolgi ti deve venire sempre negativa (funzione concava)
e la derivata seconda?