Scarica tutti i 101 studi in formato PDF e sostieni il progetto Matepratica con soli 3,99€: clicca qui per effettuare il pagamento, riceverai subito un link via mail dove poter scaricare uno Zip con tutti gli studi pubblicati sul sito in versione PDF. Per ulteriori info scrivi a info@matepratica.it
Scarica tutti i 101 studi in formato PDF e sostieni il progetto Matepratica con soli 3,99€: clicca qui per effettuare il pagamento, riceverai subito un link via mail dove poter scaricare uno Zip con tutti gli studi pubblicati sul sito in versione PDF. Per ulteriori info scrivi a info@matepratica.it



ciao, ho provato a svolgere questo esercizio , e ho notato che mi risulta errato il calcolo della derivata in quanto a me risulta 2(1-logx) / x .
essendo un rapporto.
f(x) = log^2x / x = 2logx/x
f'(x) = ((2/x)(x) – (2logx)(1))/ x^2 = (2-2logx)/x^2 = 2(1-logx)/x^2
e quindi il punto di massimo mi risulta e e non e^2
Ciao, ma non capisco il grafico perchè viene così, il massimo ha ordinata 0.1… come fa venire così alto a te??
Scusa vorrei sapere un’informazione, ma quando vado a calcolare il punto di max della funzione cioè f(e^2) come faccio ad avere un valore così elevato, oppure hai incrementato il grafico per mostrare i flessi, perchè f(e^2) è 2/e/2 e f(1) è 0
Ciao, perchè il dominio è tutto R?
scusa mi potresti spioegare il passaggio per arrivare alle e^(3+-radicedi5)/2
ciao Albert riguardo il segno della funzione non è sempre maggiore nel dominio tranne che per 1 dove da 0 ?
Questo commento è stato eliminato dall’autore.
Buongiorno Albert!!
Potresti risolvere questa funzione?
y=[log(x-7) / (x-7)^2]+1
Grazie!!
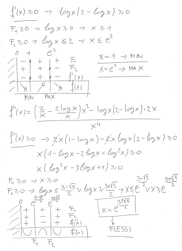
ciao albert,fantastico sito! mi puoi indicare i passaggi dello studio del segno della derivata seconda per F2?grazie mille!
Questo commento è stato eliminato dall’autore.
Ciao Albert !! Complimenti per il sito !! :))
Volevo chiederti … potresti indicarmi i passaggi su come calcolare l’ordinata del massimo ?? grazie mille !! :)
y = (log(e^2))^2 / e^2
= 2^2 / e^2 = 4/e^2
Ciao Albert potresti spiegarmi come hai svolto la derivata,e come fai la derivata di log^2x anche quando applichi De L’hopital?grazie.
Ho fatto la derivata di un quoziente N/D, che è
(N’D-ND’)/D^2, dove:
N=(lnx)^2
D=x
N’=(2lnx)/x
D’=1
La derivata di (lnx)^2 è appunto
N’=2(lnx)^1 *1/x =(2lnx)/x
perchè N è una funzione composta da una funzione esterna (potenza ^2) e una interna (lnx la cui derivata è 1/x)
però nel tuo studio del segno della derivata al numeratore non compare (2lnx)/x – ln^2(x)…compare solo 2(lnx) – ln^2(x)..perchè?
Perchè N’*D=(2lnx)/x *x =2lnx
Ciao Rossella,
– Quando x=0 il numeratore non esiste perchè non esiste il log(0)
– Quando x>0, ovvero all’interno del dominio della funzione, il numeratore è sempre positivo perchè è un quadrato: (logx)^2
Ciao Albert, complimenti per il sito!
Volevo chiederti perchè, quando studi il segno della funzione, il numeratore esce x diverso da 1, anzichè > 1. Grazie
sì anche io non ho capito perchè quando studi il segno della funzione, il numeratore esce x diverso da 1, anzichè > 1. grazie
Ciao,
log^2(x) = ( log(x) )^2
è una forma abbreviata per dire che tutto il logaritmo viene elevato alla seconda.
scusa albert ma se è vero che” log2x = log x · log x = (log x)2 “e che “log x2 = log (x·x) = 2 log x”..perchè nel secondo limite usi la proprietà di una potenza del logaritmo?? in teoria non andrebbe usate se fosse stato log(x^2)???
Salve
Prima di tutto vorrei ringraziarti di quel bellissimo lavoro :)
poi avevo una domanda, quando e’ scritto : log2(x)… che significa?
non e’ log ne(2x) ne log (x^2)..
O.o
GRAZIE
Ciao Anonimo,
1) viene 2/x perchè ho usato De L’Hopital una seconda volta:
la prima viene ((2logx)/x)/1=(2logx)/x= inf/inf
la seconda viene (2/x)/1=2/x=0+
2) attenzione che al numeratore hai (-inf)^2=+inf …
ps: nel primo limite invece non si ottiene log0^+/0^?
log0+ non da -oo? quindi risulterebbe -oo/0+ = -oo
ciao albert! nel secondo limite quando usi de l Hopital non dovrebbe tornare 2log/x anzichè 2logx/x?
nel caso il tuo calcolo sia giusto (molto probabile :)) come fa a tornarti 2/x? logx non da +oo e quindi risulterebbe oo/oo di nuovo?