Scarica tutti i 101 studi in formato PDF e sostieni il progetto Matepratica con soli 3,99€: clicca qui per effettuare il pagamento, riceverai subito un link via mail dove poter scaricare uno Zip con tutti gli studi pubblicati sul sito in versione PDF. Per ulteriori info scrivi a info@matepratica.it
Scarica tutti i 101 studi in formato PDF e sostieni il progetto Matepratica con soli 3,99€: clicca qui per effettuare il pagamento, riceverai subito un link via mail dove poter scaricare uno Zip con tutti gli studi pubblicati sul sito in versione PDF. Per ulteriori info scrivi a info@matepratica.it



Salve, perchè nell’asintoto verticale quando sostituiamo 0+ a logx, esce -infinito e non +infinito?
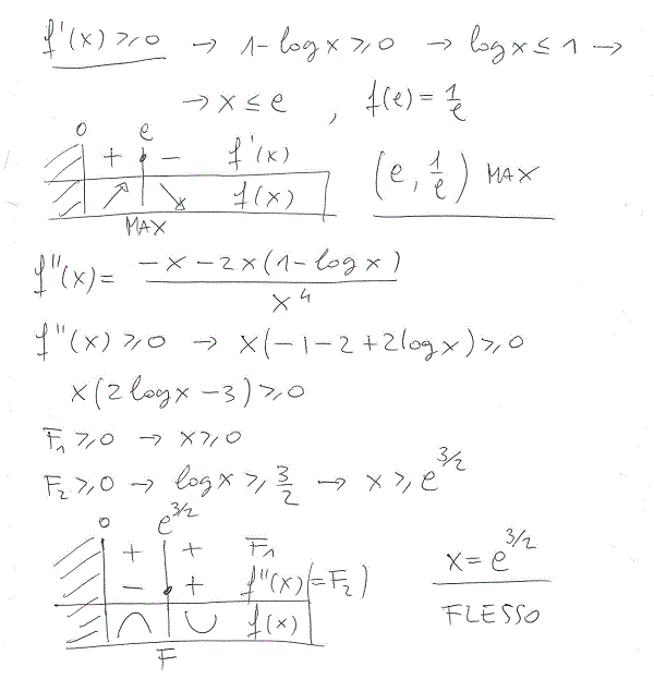
-x-2x(1-Logx) mi potresti spiegarecome diventa x(-1-2+2logx)
Questo commento è stato eliminato dall’autore.
Questo commento è stato eliminato dall’autore.
salve, come mai quando pone la derivata prima maggiore di zero semplifica usando e e non 10? il log non è a base 10? ed ln a base e? grazie.
Alcuni testi, e anche io qui, considerano “log” o “ln” in base e, “Log” in base 10
come fai apassaqre per il punto di intersezione se y=0 è un asintoto orizzoontale?????
Se una funzione ha un asintoto orizzontale, questo non significa che non possa intersecarlo una o più volte… Un esempio emblematico è f(x)=(senx)/x che interseca il suo asintoto y=0 infinite volte!
Ciao albert scusa ma nei segni perché non consideri anche il caso 0<x<1 ?
Grazie e complimenti x il sito davvero utile
Certo che lo considero: tra 0 e 1 la f è negativa e infatti risulta il segno meno nello schema dei segni…
ciao scusa ma non riesco a capire, nell’esercizio precedente avevamo un logaritmo al quadrato e nello studio del segno anziche porre il numeratore >0 hai posto diverso da 0 , mi puoi spigare come dovrei ragionare quando mi trovo di fronte a questi dilemmi??
Quel -x rappresenta la derivata del numeratore (-1/x) per il denominatore (x^2):
-1/x * x^2 = -x
salve nella derivata seconda non capisco il -x non dovrebbe essere 1\x?