Scarica tutti i 101 studi in formato PDF e sostieni il progetto Matepratica con soli 3,99€: clicca qui per effettuare il pagamento, riceverai subito un link via mail dove poter scaricare uno Zip con tutti gli studi pubblicati sul sito in versione PDF. Per ulteriori info scrivi a info@matepratica.it
Scarica tutti i 101 studi in formato PDF e sostieni il progetto Matepratica con soli 3,99€: clicca qui per effettuare il pagamento, riceverai subito un link via mail dove poter scaricare uno Zip con tutti gli studi pubblicati sul sito in versione PDF. Per ulteriori info scrivi a info@matepratica.it



Questo commento è stato eliminato dall’autore.
salve,potresti gentilmente spiegarmi ke operazioni fai per svolgere i tentativi??se x=0.5, -x=-0.5,logx=-0.69??grazie mille
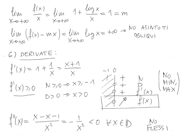
xkè nell’asintoto obliquo il valore della m è 1?
perchè per x–>+inf logx / x =0 (puoi farlo con de l’hopital) quindi f(x)/x= 1 + logx / x = 1+0 = 1
Ciao,
L’asse x ha equazione y=0, ma visto che y=f(x), dobbiamo risolvere l’equazione f(x)=0, quindi:
x + logx = 0
logx = -x
Al primo membro abbiamo la funzione y=logx (e la sappiamo disegnare perchè è una funzione elementare). Analogamente al secondo membro abbiamo la retta y=-x.
Disegniamo le due funzioni sullo stesso piano cartesiano, e vediamo quando sono uguali (per quali x hanno la stessa y). Notiamo che il punto di intersezione sta tra x=0 e x=1, quindi andiamo per tentativi: per x=0,5 la retta sta sopra logx (infatti -0,5>-0,69), per x=0,6 la retta sta sotto (infatti -0,6<-0,51). Il punto cercato sarà quindi tra X=0,5 e x=0,6. A questo punto puoi provare con 0,55 e noti che la retta sta sopra, quindi il punto sarà tra 0,55 e 0,60…io mi sono accontentato di due cifre dopo la virgola e con questo procedimento ho ottenuto x=0,56.
Spero di essermi spiegato… :)
scusami,che ragionamento bisogna fare per arrivare a scoprire l’intersezione con l’asse x?
non mi è molto chiaro…