Scarica tutti i 101 studi in formato PDF e sostieni il progetto Matepratica con soli 3,99€: clicca qui per effettuare il pagamento, riceverai subito un link via mail dove poter scaricare uno Zip con tutti gli studi pubblicati sul sito in versione PDF. Per ulteriori info scrivi a info@matepratica.it
Scarica tutti i 101 studi in formato PDF e sostieni il progetto Matepratica con soli 3,99€: clicca qui per effettuare il pagamento, riceverai subito un link via mail dove poter scaricare uno Zip con tutti gli studi pubblicati sul sito in versione PDF. Per ulteriori info scrivi a info@matepratica.it



Ciao Albert, come fai a sapere i flessi a tangenti orizzontali?
Salve,
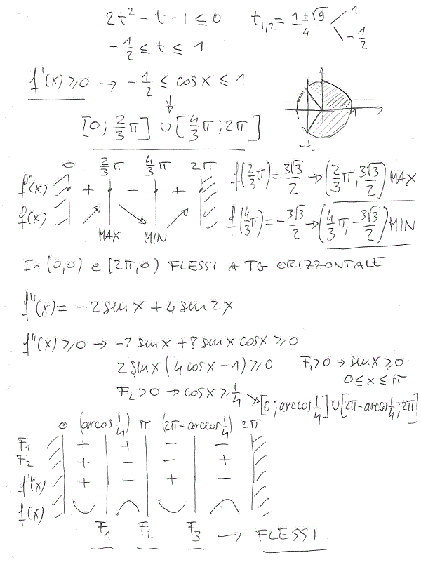
nello studio del segno, perché cosx<1 per ogni x nel dominio ? non dovrebbe essere per ogni x in D diverso da 0? Grazie in anticipo
Perchè per cosx=1 la funzione intersecherà l’asse x ogni qual volta il cos assuma valore 1 ovvero a 0 e 2 pi grega :)
Ciao Albert non ho capito come scomponi -sen2x
Grazie
sen(2x)=2sen(x)*cos(x)
cos(2x)=1-2sen^2(x)=2cos^2(x)-1=cos^2(x)-sen^2(x)
Si chiamano formule di duplicazione
Ciao Albert. Davvero ben fatto il sito complimenti. Vorrei chiederti come hai fatto ad ottenere,o meglio,come hai fatto a sapere che in 0 e in 2pi ci sono dei flessi a tangente orizzontale.
Lo dici ma non lo calcoli. Grazie ;)
Buongiorno. Chiedo scusa per il disturbo, ma non ho molta dimestichezza con trigonometria.
Nell’int. con gli assi ad un certo punto viene fuori 2senx-2senx cosx=0 …. da dove salta fuori quel cosx e perché? grazie.
Ciao quando dici cosx<1 per ogni x nel dominion, non dovrebbe essere per ogni x escluse però x=0 +2kπ in cui il cosx è proprio uguale a 1 ? :) Grazie anticipatamente per la risposta e per gli esercizi comunque sono davvero utilissimi.
ciao non ho capito perchè nel segno della derivata prima hai scritto che cos2x= 2cos^2x-1… dalle formule di duplicazione io sapevo che cos2x= 1-2sin^2x
Sono entrambe corrette: per passare dalla seconda alla prima basta ricordare che sin^2x = 1-cos^2x
scusa ma nello studio della derivata prima..il risultato ti esce cosx compreso fra -1/2 e 1..poi i risultati li trasformi in [0; 3/2 pigreco] e quello in parte..perchè?
vedi commento 4 ;)
per favore mi dici il procedimento che fai per trovare le coordinate del max e del min??? grazie in anticipo…nn riesco a capire il calcolo
non saprei cosa rispondere, i passaggi ci sono. Se mi dici esattamente quale passaggio non ti è chiaro cerco di aiutarti…
ciao, mi potrebbe dire (essendo al primo approccio con le funzioni goniometriche) come mai allo studio del segno ha ricavato l’intevallo (o,2\3)u(4\3,2pi geco)da x compreso tra -1\2 e 1??
cox=1 quando x=0 e quando x=360°=2pi.
cosx=-1/2 quando x=120°=2/3 pi e quando x=240°=4/3 pi.
Detto questo, dalla rappresentazione grafica che vedi disegnata, deduci il risultato della disequazione.
Nella studio del segno della derivata prima che calcoli hai fatto?
Immagino tu ti riferisca al fatto che ho posto, nel primo passaggio:
cos(2x)=2(cosx)^2 -1
Questa è la fomula di duplicazione del coseno.
Per il resto mi sembra che i passaggi ci siano tutti…
E poi il passaggio dove metti in evidenza non l’ho proprio capito, sempre nel calcolo del segno dove poni maggiore uguale a zero la funzione…
Per la formula di dulicazione del seno:
sen(2x)=2sen(x)cos(x)
quindi f(x)>0 –>
–> 2sen(x)-2sen(x)cos(x)>0 –>
Raccolgo –> 2sen(x)(1-cos(x))>0 –>
Divido per 2 a destra e sinistra:
sen(x)(1-cos(x))>0
Allora il meccanismo è uguale??? io mi confondo cn i grafici del segno!!
A quale meccanismo/commento fai riferimento? Qui siete tutti Anonimi e non posso capire a quale domanda/risposta fai riferimento…
Scusa il disturbo Albert potresti per favore risolvere la funzione:
f(x)= 1/ sinx + cosx???? grazie mille
Ciao, mi dispiace ma non faccio studi completi, per una questione di politica e di tempo. Se però hai qualche dubbio in particolare chiedi pure.
Ciao Albert mi diresti cosa hai fatto nel calcolo della derivata prima???
La derivata di 2senx è 2cosx, mentre la derivata di sen(2x) è 2cos(2x) (derivo il seno e moltiplico per la derivata della funzione interna 2x, che è 2); quindi:
f'(x)= 2cos(x)-2cos(2x)
In generale si: il dominio di questa funzione è R. In questo caso coincide con [0;2pi] semplicemente perchè il testo richiede lo studio della funzione in questo dato intervallo.
Ciao albert, ma il dominio è R giusto??
C’è la rappresentazione grafica sulla destra: il coseno è compreso tra -1/2 e 1 per gli angoli tra zero e 120, e tra 240 e 360 gradi.
salve potrebbe spiegarmi come ha risolto la disequazione -1/2<cosx<1?
grazie
Perchè non c’è nessun limite da calcolare: la funzione è continua su tutto l’intervallo [0;2pi]
I limiti come mai non ci sono?