Scarica tutti i 101 studi in formato PDF e sostieni il progetto Matepratica con soli 3,99€: clicca qui per effettuare il pagamento, riceverai subito un link via mail dove poter scaricare uno Zip con tutti gli studi pubblicati sul sito in versione PDF. Per ulteriori info scrivi a info@matepratica.it
Scarica tutti i 101 studi in formato PDF e sostieni il progetto Matepratica con soli 3,99€: clicca qui per effettuare il pagamento, riceverai subito un link via mail dove poter scaricare uno Zip con tutti gli studi pubblicati sul sito in versione PDF. Per ulteriori info scrivi a info@matepratica.it



ciao, non mi torna una cosa nel grafico. il punto di flesso F2, dato che abbiamo trovato che ha come x=pi/2 dovrebbe giacere sull’asse delle x dato che abbiamo proprio un punto di intersezione con l’asse in pi/2.. mi sbaglio?
Ciao,
ma senx>-1 non è valida per tutto il dominio perché nel punto x=3/2pigreco assume quel valore o mi sbaglio?
Ottimo lavoro e ottimo sito complimenti.
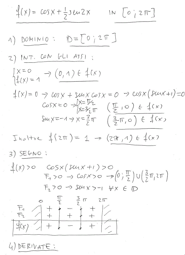
Perchè nell’intersezione con gli assi si ha anche il punto (2pigreco; 0) ?
x=2pi è un confine del dominio, e può essere considerato un asse in questo caso
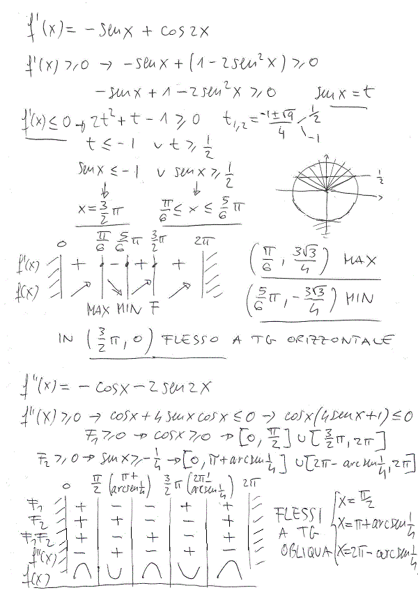
Ciao scusami nell’esercizio precedente (la funzione era 2senx-2sen2x) nel momento in cui ha fatto la derivata prima hai cambiato il verso della disequazione perché hai cambiato i segni e alla fine hai preso i valori compresi, ovvero -1/2<cosx<1. Non capisco perché quì non cambi il verso e alla fine prendi i valori esterni..grazie
Ogni caso è diverso: fai la circonferenza goniometrica e ragiona su quella, così non sbagli ;)
Buonasera,
Notavo i numerosi problemi nel calcolo della derivata..
Secondo me la confusione nasce dal fatto di aver imposto
sen(x)=t ; se così fosse dovremmo avere -2t^2-t+1>0 che diventa poi 2t2+t-1<0…da cui poi: sin<1/2 e nn maggiore!!
(in quanto per poter cambiare i segni alla variabile, dovremmo modificare il segno di disequazione!)
altrimenti la sostituzione sarebbe dovuta essere sen(x)=-t
e allora si sarebbe potuto spiegare nel modo in cui fa lei.
Viceversa, lasciando così le cose, c’è formalmente un errore di scrittura (matematica), prima ancora di un problema d’interpretazione di linguaggio, che si può vedere nei 2modi su esposti appunto!
Spero di essere stato utile
Ciao! Se guardi bene io affermo che, se f’>0 quando -2t^2-t+1>0, allora f'<0 (MINORE di zero) quando 2t^2+t-1>0. Di conseguenza anche il mio procedimento è corretto.
Come mai non studi le simmetrie della funzione?
perchè il dominio non è simmetrico rispetto x=0, quindi non ha senso…
Ciao Albert,
nonostante i commenti non ho ancora capito per lo studio della derivata prima ; io procedo in questo modo:
t=senx
-2t^2 -t+1>=0
2t^2+t-1<=0
t1= (-1+3)/4 = 1/2
t2 =(-1-3)/4 = -1
quindi dato che f(x) <0 la soluzione è per valori interni quindi 1/2<senx<-1
quindi tra pi/6 e 3pi/2 no?
Rosa
Capito :) by Rosa
Bene ;)
Ciao Alberto…mi spiegheresti l’unione del grafico dei flessi/concavità gentilmente?non ho capito l’ultimo punto che unisci…f”
Effettivamente l’ultimo flesso non è segnato nel grafico: sta tra F1 e la fine del dominio.
scusi potrebbe farmi i passaggi della derivata prima? grazi mille e complimenti per il sito
Ciao,
i passaggi nello svolgimento ci sono, inoltre puoi consultare i commenti dal 6 al 13 (che riguardano i calcoli della derivata prima). Se hai altri dubbi chiedi pure, specificando il passaggio/i a cui ti riferisci.
X quanto riguarda lo studio del segno nel grafico perchè metti quei puntini su pi/2 e su 3/2pi??me lo spieghi perfavore ?grazie Albert
I puntini indicano quando F1 (prima riga), F2 (seconda riga), e di conseguenza il loro prodotto f(x) (terza riga) si annullano. Infatti sono punti che abbiamo trovato nelle intersezioni con gli assi.
ciao Albert mi chiedevo xk nello studio del segno hai messo cosx>0 (0,pi/2) u (3/2 pi, 2pi)??? e senx>-1 per ogni x appartenente al dominio??grazie
Se ti disegni la circonferenza goniometrica ti rendi conto subito che il coseno è positivo tra 0 e 90 gradi, e anche tra 270 e 360 gradi.
Sia il seno che il coseno sono sempre compresi tra -1 e 1, quindi sempre maggiori (o uguali) a -1.
Ciao Albert mi spiegheresti cosa hai fatto nello studio del segno con cosx>0 e senx >-1?? da dove prendi quei valori ???
Mi sto chiedendo quando cosx(senx +1)>0, ovvero: quando il prodotto tra le funzioni cosx e (senx +1) è maggiore di zero?
Studio il segno del primo fattore:
cosx>0 –> (0;pi) U (3pi/2;2pi)
Studio il segno del secondo fattore:
senx +1>0 –> senx>-1 –> sempre
E ora scopro il segno del loro prodotto, ovvero il segno di f(x) (quello che mi interessa) facendo lo schemino che vedi rappresentato.
Ciao Vale, grazie a te!
Cambiando segni cambia il verso della disequazione:
cosx +4senxcosx <= 0
Poi raccolgo cosx e pongo i due fattori >=0 per convenzione (scoprendo anche per esclusione quando sono negativi).
Di conseguenza, vedi schema, scopro il segno del prodotto tra i due, e della derivata seconda.
ps: nel procedimento c’era effettivamente una imperfezione che ho corretto.
Ciao Albero!
Potresti spiegarmi perchè dopo aver cambiato il segno della derivata seconda il calcolo del coseno è comunque cosx>0 invece che cosx<0?
Grazie mille, e complimenti per la pazienza e la buona volontà!
Vale
Ciao,
– Quando la derivata prima in una dato intervallo è prima positiva, poi si annulla in un punto, poi di nuovo positiva; Oppure quando prima negativa, poi si annulla in un punto, poi di nuovo negativa; il punto in cui si annulla è un punto di flesso a tangente orizzontale.
– devi farti un bel grafico in cui disegni la circonferenza goniometrica (raggio=1), tracci la retta y=-1/4 e y=1/4 individuando gli angoli arcsen(1/4) e arcsen(-1/4)…
Ciao Albert avrei delle domande da porti:
1)Nella derivata prima in che modo stabilisco i punti di flesso?E in generale come faccio a riconoscerli?
2)In f”(x)non ho ben capito in che modo stabilisci i punti: pi+arcsin(1/4)<=x<=2pi-arcsin(1/4)
Grazie!
Perchè nel momento in cui pongo senx=t cambio anche segni al primo membro senza cambiare verso alla disequazione. Potevo anche cambiare segni lasciando f’>=0, in quel caso avrei dovuto cambiare verso alla disequazione.
salve potrebbe spiegarmi perchè nello studio del segno della derivata prima studia quando è minore di zero e non quando è maggiore?
No, io dico che f'<0 quando il verso della disequazione è maggiore. Quindi f'<0 per i valori esterni.
Ciao! Nello studio della derivata prima secondo me hai dimenticato di cambiare il segno della funzione,anche se all’inizio hai scritto fx minore uguale a 0 poi nei calcoli lo hai dimenticato,perché se diventa minore uguale a 0 dovresti prendere i valori compresi tra meno uno e un mezzo,non i valori esterni per quanto riguarda la disequazione,no?!
1) il senx non è mai minore di -1, e invece uguale a -1 per x= 3/2 pigreco.
2) il senx è maggiore o uguale a 1/2 per i valori evidenziati nella figura…
scusami potresti spiegarmi come hai fatto lo studio della derivata prima quando è maggiore di 1/2 e minore di -1??? non capisco come svolgi i calcoli!!! grazie!!
Ciao Peppo,
grazie per i complimenti… i flessi sono giusti al 100%! ciao! :)
*non come hai fatto tu :) sorry
ciao! complimenti per il tuo lavoro e per questo sito che mi ha aiutato tanto! però vedi che viene prima 5/6π e poi 3/2π come hai fatto tu….non so se i flessi che hai trovato dopo sono esatti al 100%! un saluto! :)
Ciao Anonimo,
le funzioni senx e cosx hanno dominio R. Negli esercizi proposti qui si richiede lo studio tra 0 e pigreco, quindi il dominio coincide con quest’ultimo intervallo, e non ci sono passaggi da visualizzare. Ci sono però anche alcune funzioni in cui compare un’espressione goniometrica al denominatore, che bisogna porre diversa da zero: qui i passaggi mi sembra ci siano, ma se hai ulteriori dubbi puoi consultare la sezione equazioni goniometriche per approfondire.
ciao..scusa posso chiederti un favore…ti dispiace se per gli esercizi sullo studio di funzioni goniometriche, quando calcoli il dominio, facessi tutti i passaggi?? queste funzioni nn sono il mio forte, e vorrei capire come si fanno…please =)