Scarica tutti i 101 studi in formato PDF e sostieni il progetto Matepratica con soli 3,99€: clicca qui per effettuare il pagamento, riceverai subito un link via mail dove poter scaricare uno Zip con tutti gli studi pubblicati sul sito in versione PDF. Per ulteriori info scrivi a info@matepratica.it
Scarica tutti i 101 studi in formato PDF e sostieni il progetto Matepratica con soli 3,99€: clicca qui per effettuare il pagamento, riceverai subito un link via mail dove poter scaricare uno Zip con tutti gli studi pubblicati sul sito in versione PDF. Per ulteriori info scrivi a info@matepratica.it



ciao belli perchè compare il segno meno alla derivata prima?
ciao bella, proprio perché è derivata, quindi va alla deriva del segno meno
Ciao! Perché, per quanto riguarda il denominatore della derivata prima, comprare il valore assoluto?
La derivata prima si presenta nella forma 1\f(x) come mai nn usi la formula di derivazione: -f(x)^2\f(X)‘?e usi quella del rapporto?
ciao albert! posso chiederti chiarimenti sul segno della derivata prima??
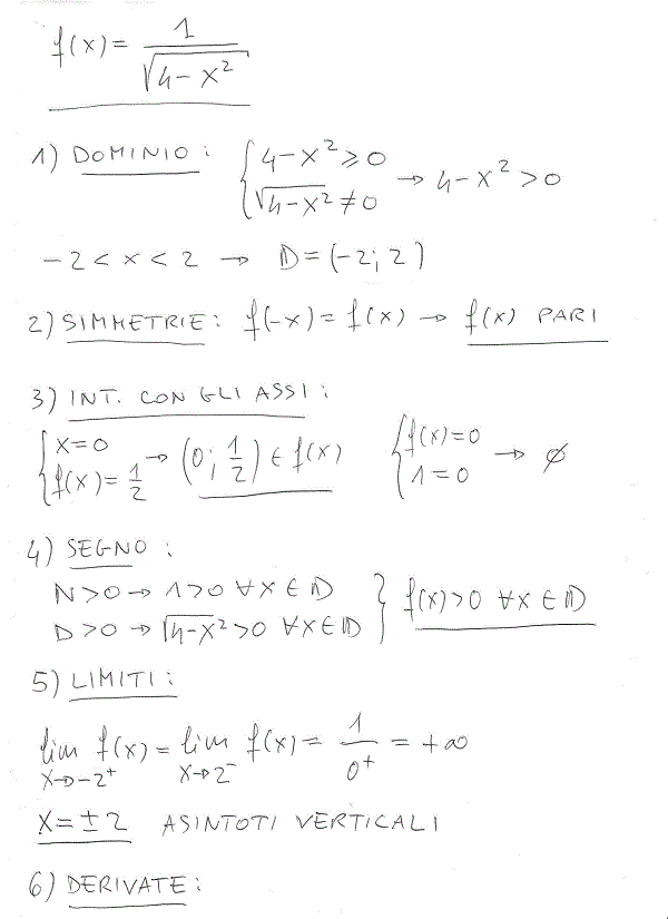
al denominatore abbiamo 4-x^2 e la stessa cosa sotto radice.. non dovremmo avere +2 -2 quel 4 da dove esce???
ps :questo sito è un salvavita
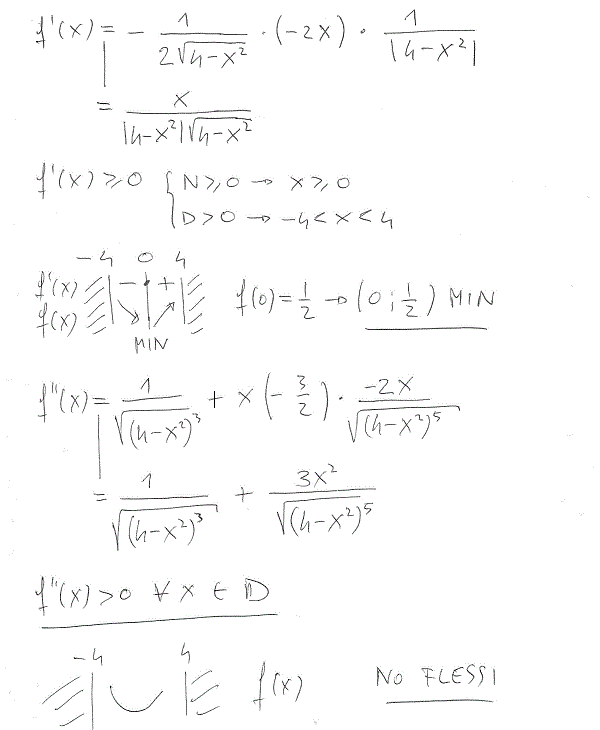
procedimento derivata 1
mi spiegheresti la derivata prima perfavore?? non ho capito niente!!
ciao…
la derivata prima l’hai ridotta ai minimi termini…cioè hai saltato tutti i passaggi…
potresti scriverli?perfavore…non capisco come ci sei arrivato al dunque…
GRAZIE
Ho alcuni dubbi: il primo è come mai nello studio del segno la funzione risulta sempre positiva, perchè ad esempio, se sostituisco alla x=5 risulata un numero negativo sotto radice; l’altro è perchè non calcoliamo il limite che tende ad infinito. grazie mille
Scusami ma se la funzione è sempre positiva perchè poi quando tracci il grafico prendi anche la parte negativa con asintoto -2?e poi il limite che tende a 2+ perchè non si calcola? grazie mille
ciao ma l’asintoto orrizzontale come mai non l’hai cercato? per x che tende a infinito a me viene y=0!
La funzione non esiste per x che tende a + o – infinito: vedi il dominio…
ciao, ma nell’intersezione con gli assi non esce y= +-1/2 ?????????
no, davanti alla radice al denominatore c’è un segno (sottointeso) +
Scusa, ma xk c’è il modulo sul denominatore? Grazie
Perchè il quadrato di una radice dev’essere positivo (ma cambia poco perchè anche il radicando, quindi ciò che poi va dentro il modulo, dev’essere positivo, e lo abbiamo già stabilito nel dominio)
perchè la derivata seconda è sempre positiva?
Perchè entrambe le frazioni sono sempre positive (sono rapporti tra quantità positive, la prima sempre >0 e la seconda >=0), e una somma di quantità positiva da un valore sempre positivo.
Correggimi se sbaglio…è giusto dire che si tratta di una somma di frazioni sempre positive perchè la prima ha N>0 sempre dato che 1>0 e D>0 sempre perche L’ARGOMENTO DI UNA RADICE CON INDICE PARI NON PUò MAI ESSERE NEGATIVO? (stesso ragionamento per la seconda frazione)
NON sbagli ;)
Puoi spiegarmi come mai nella derivata prima appare quel -2x?
E’ la derivata del radicando 4-x^2.
ciao potresti spiegarmi lo studio del segno della derivata prima…come è unscito fuori -44 ?? grazie
Intendi -4?! Il denominatore esiste per -4<x<4
potresti spiegarmi meglio il calcolo della derivata seconda?? non ci ho capito niente!!!!!!! grazie mille :)
Ciao! Leggi il commento 6, dove rispondo a Marcello. Poi se ci sono problemi fammi sapere.
Il denominatore, quando esiste, è sempre positivo, perchè è un prodotto tra un modulo e una radice quadrata. Il denominatore esiste, e di conseguenza è positivo, quando il radicando 4-x^2 è maggiore di zero, ovvero per -4<x<4.
scusami volevi dire x compreso tra -2 e 2…il 4 non credo sia corretto….o sbaglio?
il valore assoluto è sempre positivo qdi basta porre x diverso da + e- 2
Si esatto mi correggo: -2<x<2
Quindi nel segno della derivata prima io pongo 4-x^2>0 e mi viene -2<x<+2 invece che -4<x<+4… giusto?
si esatto
Nn vorrei dire una scemenza ma nella derivata prima, quando il denominatore viene posto maggiore di zero, nn è giusto il 4 in quanto la X è al quadrato… Bisognava fare la radice. O mi sbaglio???!!
Ciao Anonimo,
si, quando abbiamo un radicando (con radice di indice pari) al denominatore, esso deve essere strettamente positivo. In questo caso:
4-x^2 >0
che ha come soluzione -22 o x<2 il radicando risulta negativo.
il dominio deve essere strettamente positivo per tutte le situazioni in cui il al denominatore vi è un radicando?
perchè non prendiamo in considerazione anche +-infinito?
Ciao Anonimo,
perchè (-2;2) è la soluzione della disequazione 4-x>0.
Considera che 4-x è sia radicando che denominatore, quindi deve essere strettamente positivo.
Perche il dominio è (-2,2) e non (-inf, -2) U (2, + inf)?
Ciao Marika,
scusami ma non capisco la tua domanda: nella derivata prima il valore assoluto compare solo al denominatore…
mi spiegheresti gentilmente perchè nella derivata prima compare il valore assoluto sia come numeratore che come denominatore???
Ciao Marcello,
la derivata seconda è sbagliata, anche se ai fini dell’esercizio non cambia nulla. Grazie della segnalazione. Nel primo passaggio c’è un – invece di un +, e manca un -2x, nel secondo sparisce una x: rifaccio i conti qui di seguito.
La derivata prima si può scrivere come
f'(x)=x(4-x^2)^(-3/2)
Facendo la derivata del prodotto:
f”(x)=(4-x^2)^(-3/2) + x(-3/2)(-2x)(4-x^2)^(-5/2)
f”(x)= 1/(4-x^2)^(3/2) + (3x^2)/(4-x^2)^(5/2)
che è sempre positiva nel dominio, quindi la conclusione rimane la stessa.
Ora ho corretto l’errore anche nella soluzione riportata nel post.
Ma la derivata seconda è giusta??
Ciao Escape,
si proprio quella: moltiplicando per 1/|4-x^2| è come se dividessi tutto per |4-x^2|, che è il denominatore al quadrato.
Ciao ma perché hai usato il valore assoluto nella derivata prima?
Ma nella derivata che formula hai applicato? Quello del quoziente?
modificato, ora è giusto!!
il dominio è sbagliato!!
C.E. = (-2 , 2)
Scusa ma non capisco perche’
Perché non c’è l’asintoto orizzontale? Grazie mille
]-2;2[