Scarica tutti i 101 studi in formato PDF e sostieni il progetto Matepratica con soli 3,99€: clicca qui per effettuare il pagamento, riceverai subito un link via mail dove poter scaricare uno Zip con tutti gli studi pubblicati sul sito in versione PDF. Per ulteriori info scrivi a info@matepratica.it
Scarica tutti i 101 studi in formato PDF e sostieni il progetto Matepratica con soli 3,99€: clicca qui per effettuare il pagamento, riceverai subito un link via mail dove poter scaricare uno Zip con tutti gli studi pubblicati sul sito in versione PDF. Per ulteriori info scrivi a info@matepratica.it



Ciao, utilissimo il pdf dei 101 esercizi, grazie. Purtroppo non ho compreso come si raccolgono i termini e si semplifica la derivata seconda in questo esercizio. Per favore potresti illustrare qualche passaggio intermedio?
Ma io dico, ma fare tutti i passaggi? Non mi serve a nulla che scrivi direttamente la soluzione. Non mi serve sapere che tu sappia fare gli esercizi ma capire come si fanno.
Ciccino, ma se ti danno la pappa pronta non impari un bel niente, fatti un po’ il mazzo a fare tu i passaggi finche’ non arrivi al risultato giusto, come hanno fatto tutti prima di te.
Se non ce la fai, è segno che stai cercando di fare qualcosa di troppo difficile, prendi un bel libro o cerca su internet gli esercizi sugli argomenti di base.
Perché non mi sembra qui si saltino passaggi, al massimo sei tu che ne fai qualcuno di troppo.
Questo sito è una miniera d’oro.
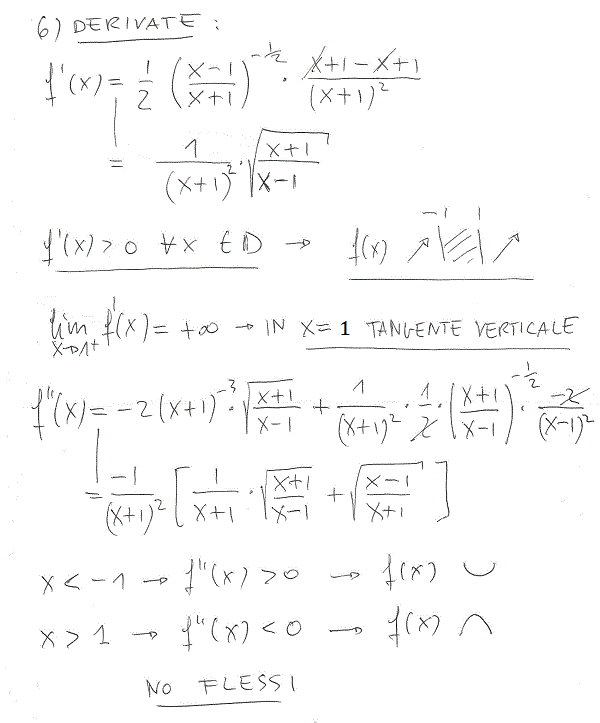
Credo che ci sia un errore nel calcolo della derivata prima. Elevando a -1/2 alla fine la radice si trova al denominatore e non al numeratore.
Saluti
Questo commento è stato eliminato dall’autore.
Scusa ma come fai a calcolare il segno della derivata seconda se nella parentesi hai una somma e non un prodotto?
Come mai l’asintoto si calcola solo in -1 da sinistra e non anche in +1 da destra?
perchè tra -1 e +1 la funzione non è definita, come da campo di esistenza (il radicando diventa negativo).
Ciao! potresti spiegarmi il grafico della derivata 2? non ho capito bene i segni con tutti quegli x-1 e x+1 non so quali prendere per disegnare lo studio del segno
Nella derivata seconda: la parte raccolta fuori è sempre negativa. Per x>1 la parte dentro parentesi quadre è sempre positiva (somma di quantità positive) quindi la derivata seconda sempre negativa. Per x<1 la parte dentro parentesi quadre è sempre negativa quindi la derivata seconda sempre positiva.
ah, e perché anche la derivata prima posta maggiore di zero risulta essere per ogni x appartenente al dominio? in tal caso si dice che la funzione è strettamente crescente?
Perchè f'(x) è un prodotto e quoziente di fattori tutti positivi: 1, (x+1)^2, e la radice.
Si: f(x) è quindi strettamente crescente.
Salve, sono Adriana :) ho una piccola domandina da fare a causa di un dubbio… perché nello studio del segno la f(x) risulta essere per ogni x appartenente al dominio?
Perchè una radice quadrata, quando esiste (ovvero nel dominio), è sempre positiva.
scusi come si fa a sapere se la funzione disegnata a sinistra si trova sopra o sotto l’asintoto orizzontale in questo tipo di esercizio??
Essendo la funzione crescente e convessa per x<-1 l’andamento dev’essere per forza quello rappresentato…
scusa ma non riesco a capire perchè nella derivata prima ai invertito x-1 con x+1 sotto radice
Perchè nel passaggio precedente la frazione è elevata alla -1/2: il meno all’esponente diventa + se inverto la frazione, mentre l’1/2 lo scrivo come radice quadrata.
Mi dispiace, ma non ho capito la tua domanda…a quale 1 ti riferisci?
Questo commento è stato eliminato dall’autore.
ma la derivata prima a me viene con la x e non 1 al numeratore…
Ciao Mamod,
me lo sono dimenticato, hai ragione: al posto di -2 ho messo -1. Comunque ai fini del calcolo del segno, e quindi della ricerca dei flessi, non cambia nulla.
Salve
nella seconda derivata, il numeri (-2) il primo, dove e’ sprito..
perche’ ho visto che il secondo (-2) lo ha elemenato con il (1\2)
ma il primo ?!?!
Ciao Anonimo,
purtroppo questo non è un forum, perchè se lo fosse non sarei da solo a rispondere alle vostre domande… :)
Dominio:
Tutto ciò che sta sotto la radice deve essere maggiore o uguale a zero, quindi pongo la frazione radicanda maggiore o uguale a zero (facendo attenzione a porre il denominatore diverso da zero)
Parentesi:
– la tonda indica “estremo non compreso”
– la quadra indica “estremo compreso” (*)
(*) infatti x=1 è compreso del dominio, e la funzione in quel punto vale y=0, per cui non ha senso calcolarne il limite: ti verrebbe ovviamente zero (coincidente col valore della funzione).
Buongiorno, complimenti per questo magnifico forum-1
Volevo sapere come fa a capire bene quali numeri sono compresi o no nel dominio (potrebbe spiegarmi l utilità delle parentesi tonde e quadre?); inoltre non capisco come mai non calcola il limite per x che tende a 1^+ dato che questo dovrebbe essere compreso nel dominio..
Ciao Calisto,
si hai perfettamente ragione, avevo scritto x=0 invece di x=1. Ho modificato, grazie!
non dovrebbe essere x=1 il punto di flesso della tangente verticale ?
tra l’altro x=0 non è definito o erro ?
Ciao Anonimo,
ho derivato prima la funzione esterna (la radice quadrata della frazione), ovvero ho fatto la derivata della frazione elevata alle 1/2. Poi ho moltiplicato quest’ultima per la derivata della funzione interna con la formula che hai scritto tu.
Scusi, vorrei sapere Quale regola ha usato per calcolare la derivata prima:
(n’*d-n*d’)/d^2?
Ciao Anonimo,
In x=1 la funzione esiste e vale 0, per cui non è un punto di discontinuità e non ha senso calcolarne il limite (se lo fai ti viene ovviamente 0)
Invece in x=1 la derivata non esiste (perchè al denominatore compare x-1) per cui faccio il limite (derivata destra) per vedere con che inclinazione la f si “pianta” nel punto (1;0)
scusa, ma perche hai fatto il lim di 1+ nella derivata prima ? e non nella f(x) originale come con gli alri lim.
grazie..
Ho automaticamente posto il denominatore diverso da zero quando ho risolto la disequazione fratta (x-1)/(x+1)>0
Infatti il denominatore si annulla quando x=-1: punto che viene poi escluso da dominio.
Mi scusi xk al dominio nn si è posto il denominatore diverso da zero??
Devi aver sbagliato tu un segno, il risultato è corretto…
mi scusi , non ho capito la derivata seconda . nell’ultima derivazione cioè -2/(x+1)^2 ho riscontrato una differenza cioé 2/(X+1)^2 …. il numeratore nel mio caso è positivo …..
Ciao Anonimo,
se sostituisci +infinito al posto della x in lim per x–>+inf f(x) ti viene una forma indeterminata infinito su infinito. ù
Allora raccolgo la x al numeratore e al denominatore, le semplifico tra loro, e mi rimane:
lim rad((1-1/x)/(1+1/x)) che, per x–>+inf risulta uguale a:
lim rad((1-1/inf)/(1+1/inf))=
= rad((1-0)/(1+0))=
= rad(1/1)= rad1 = 1
mi scusi, non ho capito il limite che tende a + inf. che procedimento ha usato? grazie.