Scarica tutti i 101 studi in formato PDF e sostieni il progetto Matepratica con soli 3,99€: clicca qui per effettuare il pagamento, riceverai subito un link via mail dove poter scaricare uno Zip con tutti gli studi pubblicati sul sito in versione PDF. Per ulteriori info scrivi a info@matepratica.it
Scarica tutti i 101 studi in formato PDF e sostieni il progetto Matepratica con soli 3,99€: clicca qui per effettuare il pagamento, riceverai subito un link via mail dove poter scaricare uno Zip con tutti gli studi pubblicati sul sito in versione PDF. Per ulteriori info scrivi a info@matepratica.it



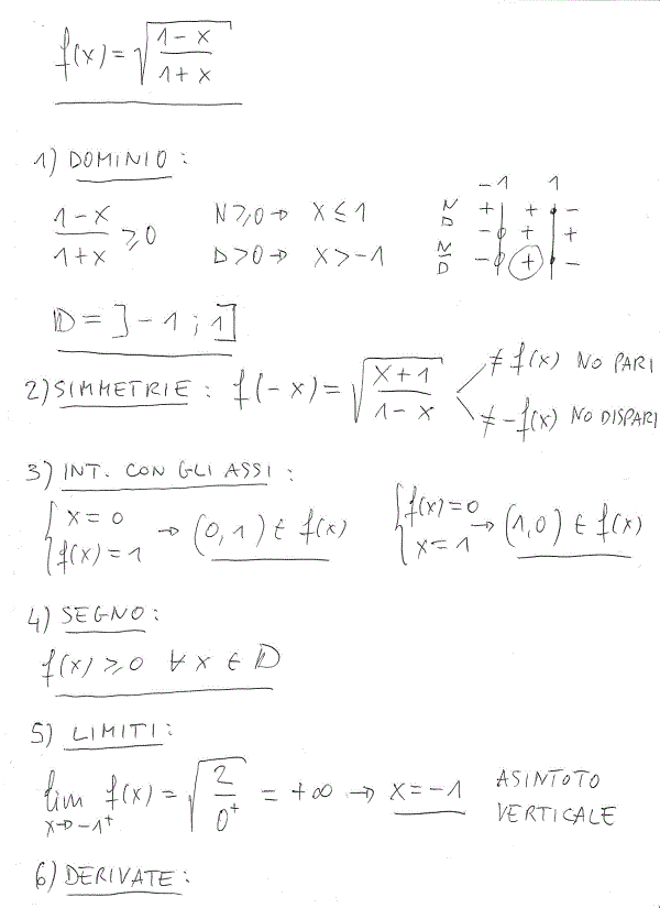
Ciao Albert, potresti scrivermi i passaggi del limite?
A me risulta radice di 2/0- e non riesco proprio a capire dove sbaglio.
Grazie molte
Buongiorno, non riesco a capire bene lo svolgimento di f”(x).
Riesco ad arrivare al secondo passaggio, poi prendo in evidenza prima rad[(1-x)/(1+x)] e dopo 1/(1+x)^2 e mi rimane [-1/(1-x)^2]+[2/(1+x)(1-x)/(1+x)^2] vorrei capire come fa a diventare (2/(1+x))((1+x)/(1-x) e quindi a semplificarli
ciao, l’ordinata del flesso non è rad(1/3)?
Salve, volevo gentilemente chiedere come è stata calcolata la derivata prima della funzione in ogni suo passaggio in quanto mi sono un po perso nel suo svolgimento.
P.S. complimenti per il sito!!
Albert l’asintoto verticale è x=-1 non y=-1 ;) ciao e grazie per il sito!
Salve, come mai la derivata f'(x), per lo studio del segno, va posta < 0 e non uguale/maggiore a 0?
Ciao albert,
per quanto riguarda il dominio, scrivere, come hai fatto tu ]-1;1] è uguale allo scrivere (-1;1] ?
si stessa cosa
1. Perchè fai il limite per x->1- della derivata prima?
2. Come mai f'(x) per ogni x appartenente al D?
3. La derivata della radice alla fine non appare al denominatore? (perchè all’inizio, con la derivata di radice, si fa 1/2*rad(fx)
1. perchè coincide col coefficiente angolare della tangente in x=1, ovvero vedo come la funzione si “pianta” nel punto (1,0)
2. perchè il radicale e la frazione che compongono la f’ sono sempre positivi, e visto che c’è un meno davanti…la derivata è sempre negativa
3. ho invertito numeratore e denominatore: per intenderci se f=rad(a/b) allora f’=1/2 rad(b/a)
l’ as. orizzontale nn lo calcoli??
La funzione sta tra -1 e 1, non può avere asintoti orizzontali
salve,io volevo sapere come mai x=1 nn è as.verticale?
Perchè per x=1 la funzione esiste e vale zero, quindi passa per il punto (1,0) e non ci sono asintoti
Ciao albert, non capisco la derivata seconda xk l’hai risolta così. Mi aiuti?
Francesca
Ho diviso (potevo anche raccogliere) per quantità sempre positive (quadrati e radici) in modo da semplificare la disequazione.
Ciao Anonimo,
purtroppo questo non è un forum, perchè se lo fosse non sarei da solo a rispondere alle vostre domande… :)
x=1 annulla il numeratore, ma non il denominatore. Quindi è compreso nel dominio.
x=-1 annulla il denominatore, quindi NON è compreso nel dominio.
Buongiorno, gran bel forum! molto molto utile!
Vorrei sapere come fa capire quali numeri sono compresi nel campo di esistenza. Nel grafico del punto 1 mi torna esattamente uguale (quindi + – +) ed essendo questa funzione un irrazionale devo considerare i valori positivi quindi il campo compreso tra -1 e 1. ora come faccio a capire se -1 o +1 sono compresi o non compresi nel C.E? grazie dell’aiuto