Scarica tutti i 101 studi in formato PDF e sostieni il progetto Matepratica con soli 3,99€: clicca qui per effettuare il pagamento, riceverai subito un link via mail dove poter scaricare uno Zip con tutti gli studi pubblicati sul sito in versione PDF. Per ulteriori info scrivi a info@matepratica.it



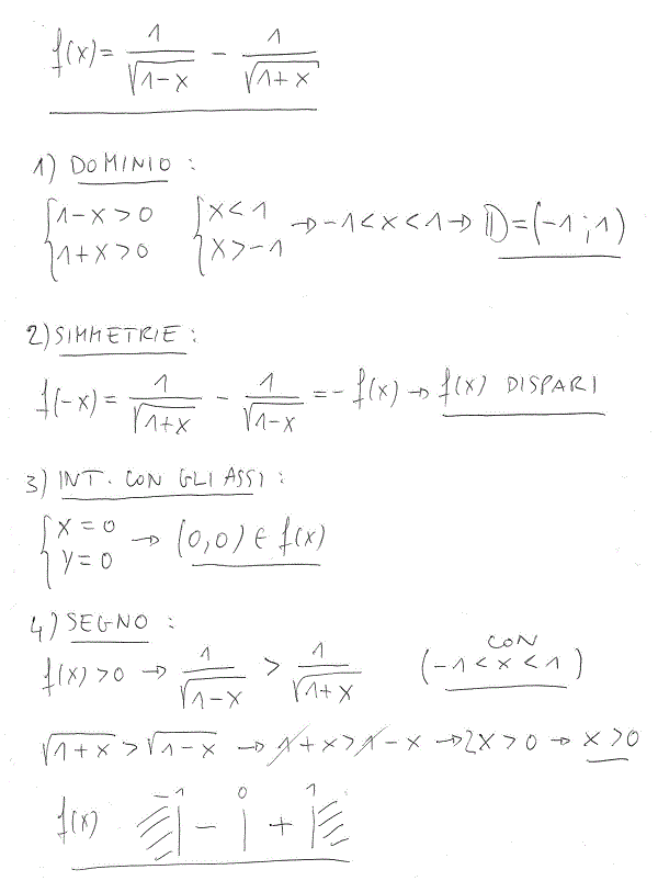
Ciao Albert, volevo chiederti se c’è una differenza fra lo scrivere che il dominio equivale a D=R\(-1; +1) oppure scrivere che il D= (-infinito a -1) u a (+1, +infinito)
Scusa per gli errori, ma sulla tastiera non trovo tutti i simboli…
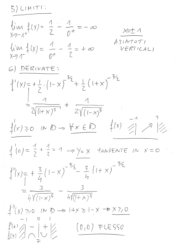
Ciao Albert, mi spiegheresti con qualche passaggio in più lo studio della derivata prima?
Grazie infinite
scusa volevo chiederti perchè non hai fatto lo stesso ragionamento per la derivata prima >0 come per la derivata seconda per lo studio del segno?
Perchè nella prima tra le due frazioni c’è un +, nella seconda un –
ciao albert potresti spiegarmi perchè nello studio del segno hai invertito le radici ovvero rad 1+x > rda 1-x e quindi ti viene 2x>0 invece non dovrebbe rimanere Rad 1-x >Rad 1+x e qundi viene x<o pertanto cambia il grafico.
grazie anticipatamente
Moltiplicando a destra e sinistra per tutte e due le radici e semplificando…vedrai che ti viene così!
Gentile Albert..
Vorrei tu mi spiegassi come mai nei limiti 1/2 – ∞ = ∞
Perchè in generale:
1)
k – inf = -inf (con k numero reale qualsiasi)
2)
+inf – k = +inf (con k numero reale qualsiasi)
Il segno è sbagliato, da -1 a 0 è positiva e da 0 a +1 è negativa
No, è giusto così. E il grafico finale (generato da un calcolatore online) lo conferma.
Ciao e scusa l’ignoranza :) potresti dirmi perchè non calcoli, con i limiti, eventuali asintoti arizzontali?
grazie!
Perchè per x che tende a più o meno infinito la funzione non esiste, infatti il dominio è “confinato” tra -1 e 1.
Ciao Albert, noto che in questo studio hai ricercato la tangente in modo diverso dal solito, quando poni il limite a seconda del dominio, qui invece hai sostituito lo 0 alla x della derivata prima, potresti gentilmente spiegarmi la regoleta? Grazie.
Qui non devo fare limiti perchè in x=0 f è continua e derivabile, quindi per trovare il coefficiente angolare della tangente trovo il valore della derivata in x=0:
m=f'(0)
No, hai ragione, mi sono accorto ora di aver tralasciato il – durante il calcolo della derivata
Ciao Albert, nel calcolo della derivata prima mi risulta che davanti alla prima frazione ci sia un segno negativo:
-1/2rad(1-x)^3) + 1/2rad(1+x)^3
quindi
f'(0) = -1/2 + 1/2 = 0 e non 1
Ciao,
la derivata seconda è maggiore di zero quando la prima frazione è maggiore della seconda (infatti è uguale alla differenza tra le due, come vedi). Visto che le frazioni hanno lo stesso numeratore (3), la seconda sarà più piccola della prima quando il suo denominatore è più grande, ovvero quando 1+x>1-x in questo caso…
Potresti spiegarmi il segno della derivata seconda? perché scrivi 1 + x >= 1- x? non dovrebbe essere solo maggiore senza uguale?
Ciao Anonimo,
lim(x–> -1) f(x) = 1/rad2 – 1/0 =
= 1/rad2 – inf = -inf
lim(x–> +1) f(x) = 1/0 -1/rad2 =
= +inf – 1/rad2 = +inf
effettivamente non viene 1/2, ma 1/rad2, hai ragione…cumunque non cambia niente ai fini del risultato finale.
mi potresti spiegare perchè i lim vengono così? ma soprattutto perchè 1/(1-x)^(1/2) ti esce 1/2 …!!!
Ciao Anonimo,
Per il calcolo della derivata basta vedere f(x) come f(x) = (1-x)^(-1/2) – (1+x)^(-1/2)
e derivare di conseguenza come si vede dai passaggi.
Per la valutazione del segno della derivata, noto che il campo di esistenza è lo stesso della funzione iniziale f(x), e quindi in D le radici quadrate al denominatore sono positive, di conseguenza sono positive anche le due frazioni, e la loro somma.
Quindi f'(x) è sempre positiva in D, e la funzione sempre crescente.
mi può spiegare tutti i passaggi della derivata prima? grazie.