Scarica tutti i 101 studi in formato PDF e sostieni il progetto Matepratica con soli 3,99€: clicca qui per effettuare il pagamento, riceverai subito un link via mail dove poter scaricare uno Zip con tutti gli studi pubblicati sul sito in versione PDF. Per ulteriori info scrivi a info@matepratica.it
Scarica tutti i 101 studi in formato PDF e sostieni il progetto Matepratica con soli 3,99€: clicca qui per effettuare il pagamento, riceverai subito un link via mail dove poter scaricare uno Zip con tutti gli studi pubblicati sul sito in versione PDF. Per ulteriori info scrivi a info@matepratica.it



ciao albert… <3
Ottimo lavoro. Lo sto trovando molto utile per ripassare. Grazie.
Ciao,
so che è passato molto tempo, ma se mettessi i passaggi di come hai fatto la derivata seconda sarebbe una gran cosa! O se qualcuno lo sa…
Prova a fare la derivata seconda di questa vedi se ti riesce più facile ..
f”(x)= D[1/rad(x)] – D[1]
ciao, perchè non provi a vedere se c’è la tangente verticale calcolando il limite
per x->0+ della derivata prima? come nell’esercizio 61?
attendo risposte
ciao albert ma il due finale nella derivata seconda scompare?!?!? e scomponendo x alla 3 si potrebbe portare fuori x alla 2? grazie in aticipo
Albert buonasera! non ho capito i passaggi della derivata seconda, sembra che derivi solo il numeratore. grazie!
ciao scusami ma quando fail il lim x che tende a inf forma indeterminata inf-inf potresti spiegarmi come lo risolvi?grazie
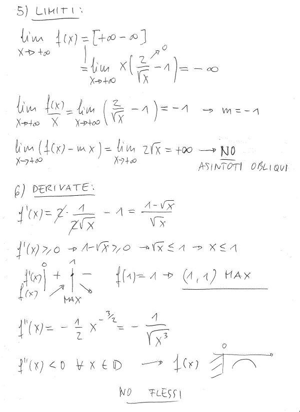
Scusa, ma qual è il passaggio, nel calcolo dell’asintoto obliquo, che x^2 dentro la radice lo porti fuori in valore assoluto? Cosa hai usato? E poi un’altra cosa..nello studio del segno di f'(x), perchè è per ogni x diverso da 0? Grazie mille per il tuo aiuto!!
– Ho usato rad(x^2)=|x|
– f'(x)<0 per ogni x diverso da zero perchè x=0 annulla il numeratore e quindi tutta la f'(x).
Albert, come mai nell’intersezione con gli assi, quando si pone f(x)=0, esce rad di 8 e poi questo = 2?
Grazie in anticipo
Si scusa manca un 3 all’indice: sarebbe radice cubica di 8 = 2
*il camp di esistenza non il codominio!
Perchè viene x<=2
Scusami ma perché il codominio va da – infinito a 2?
Non serve, la funzione per x=0 è continua e vale 2rad2
ciao albert complimenti per il sito.
mi sto trovando benissimo e sto imparando a fare molte cose.
potresti spiegare meglio per favore perchè non hai fatto il lim (x->0) di f(X)?
il limite per x che tende a zero pos non lo hai calcolato?
Come non è compreso?! Il dominio va da 0 a +infinito…
ciao Albert!
Come mai calcoli il limite per x che tende a infinito, se infinito non è compreso nel dominio?
Ciao Calisto,
è una dimenticanza, infatti nel passaggio precendente il 2 al denominatore c’è. Non cambiano comunque i calcoli per quanto riguarda i flessi e le concavità.
Grazie della segnalazione!
la derivata seconda è errata .
il risultato corretto è -[1]/[2*(x)^3/2)]