Scarica tutti i 101 studi in formato PDF e sostieni il progetto Matepratica con soli 3,99€: clicca qui per effettuare il pagamento, riceverai subito un link via mail dove poter scaricare uno Zip con tutti gli studi pubblicati sul sito in versione PDF. Per ulteriori info scrivi a info@matepratica.it
Scarica tutti i 101 studi in formato PDF e sostieni il progetto Matepratica con soli 3,99€: clicca qui per effettuare il pagamento, riceverai subito un link via mail dove poter scaricare uno Zip con tutti gli studi pubblicati sul sito in versione PDF. Per ulteriori info scrivi a info@matepratica.it



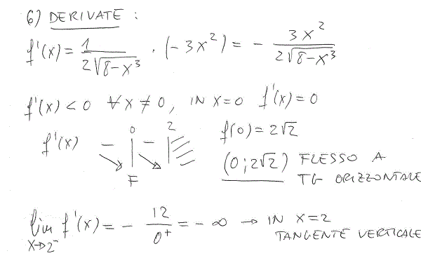
Perché non è stata calcolata la derivata seconda? Non riesco a capire come si è potuto determinare il flesso tramite la derivata prima
Si tratta di un flesso a tangente orizzontale, detto molto velocemente calcoli la derivata prima f'(x), poi la annulli risolvendo f'(x)=0. Subito dopo calcoli il segno di f'(x), risolvendo f'(x)>0. Se la derivata prima si annulla per un certo valore x=c (domini permettendo) e in quel punto x=c non avviene un cambio di monotonia (quindi per x<c f'(x)c f'(x)<0 oppure per x0, per x=c f'(x)=0, per x>c f'(x)>0) allora quel punto è un punto di flesso a tangente orizzontale nel primo caso tra parentesi “discendente” e nel secondo caso “ascendente”
Salve, scusate l’ ignoranza, ma sono una neofita di matematica e non riesco a capire perchè nel calcolo delle derivate siamo partiti da 1/2rad 8+x^3 …. Ho pensato fosse il risultato del rapporto incrementale, ma a me viene un altro risultato.. Mi scuso ancora per il livello delle conoscenze.
Salve, perchè poni la derivata prima minore di zero invece che maggiore?
Ciao Albert, non allibire per la mia ignoranza, ma c’è connessione tra il flesso orizzontale e la tangente verticale, ho solo capito che va fatto il limite della derivata perché in quel punto di non derivabilitá la funzione esiste. Se ometto questo passaggio e calcolo direttamente seconda derivata per laconvessitá è errore? Grazie
Se l’obiettivo è disegnare il grafico, visto che la funzione si “pianta” in x=2, è utile (direi importante) sapere con quale inclinazione lo fa (in questo caso l’inclinazione risulta verticale)
Ciao Anonimo,
il limite della derivata prima va calcolato nei punti (se ci sono) dove la funzione esiste, ma la derivata no.
ciao Albert! potresti spiegarmi quando devo calcolare il limite della derivata prima e quando non devo farlo? c’è un modo immediato per capire questa cosa? perchè sennò io lo calcolerei sempre oppure non lo calcolerei mai.. grazie 1000
grazie :)
Ciao Calisto,
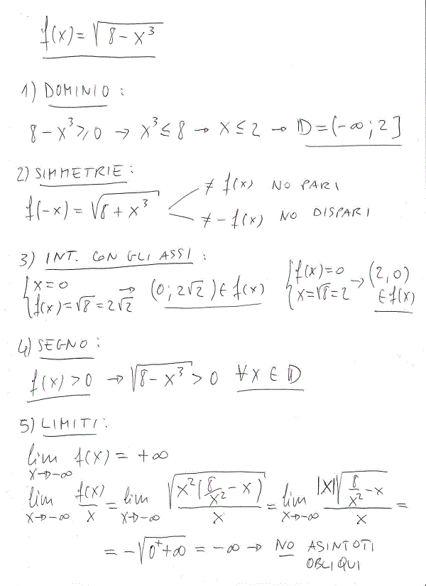
chi ha detto che (8)^1/2 appartiene all’intervallo (-inf,2] ?
forse ti riferisci al fatto che manca l’indice 3 alla rad8 nelle intersezioni con gli assi… è una dimenticanza, infatti il risultato è giusto, ed è x=2 (che appartiene al dominio)
da quando (8)^1/2 appartiene all’intervallo (-inf,2] ??