Scarica tutti i 101 studi in formato PDF e sostieni il progetto Matepratica con soli 3,99€: clicca qui per effettuare il pagamento, riceverai subito un link via mail dove poter scaricare uno Zip con tutti gli studi pubblicati sul sito in versione PDF. Per ulteriori info scrivi a info@matepratica.it
\[ f”\left(x\right)=\left(x^{2}+1\right)^{-\frac{3}{2}}+\left(x+1\right)\left(-\frac{3}{2}\right)\left(x^{2}+1\right)^{-\frac{5}{2}}\cdot2x \] \[ f”\left(x\right)=\left(x^{2}+1\right)^{-\frac{3}{2}}-3x\left(x+1\right)\left(x^{2}+1\right)^{-\frac{5}{2}} \] \[ f”\left(x\right)=\frac{1}{\sqrt{\left(x^{2}+1\right)^{3}}}-\frac{3x\left(x+1\right)}{\sqrt{\left(x^{2}+1\right)^{5}}} \] \[ f”\left(x\right)=\frac{x^{2}+1-3x^{2}-3x}{\sqrt{\left(x^{2}+1\right)^{5}}} \] \[ f”\left(x\right)=\frac{-2x^{2}-3x+1}{\sqrt{\left(x^{2}+1\right)^{5}}} \] \[ f”\left(x\right)\geq0\rightarrow2x^{2}+3x-1\leq0 \] \[ f”\left(x\right)\geq0\rightarrow x\geq\frac{-3-\sqrt{17}}{4}\:\wedge\:x\leq\frac{-3+\sqrt{17}}{4} \] e otteniamo due flessi: \[ x_{F1}=\frac{-3-\sqrt{17}}{4} \] \[ x_{F2}=\frac{-3+\sqrt{17}}{4} \]
Scarica tutti i 101 studi in formato PDF e sostieni il progetto Matepratica con soli 3,99€: clicca qui per effettuare il pagamento, riceverai subito un link via mail dove poter scaricare uno Zip con tutti gli studi pubblicati sul sito in versione PDF. Per ulteriori info scrivi a info@matepratica.it



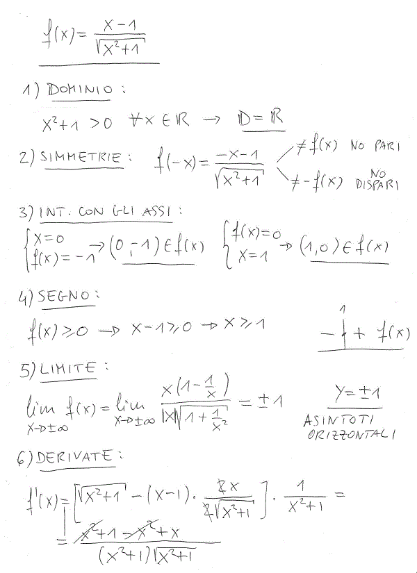
Ciao Albert. Non riesco a capire perchè il limite tende a + o – 1. Non tende sempre a +1?
perchè al denominatore c’è il valore assolto ,quindi si prende una volta il valore positivo ed un’altra volta il valore negativo.
La coordinata y del punto di minimo non dovrebbe essere -2/(rad2) ?
si c’è un errore, il risultato è -2/(rad2)
E’ stata razionalizzata moltiplicando per rad2/rad2, ottenendo( -2*rad2)/2
Ciao Albert. Scusa per il disturbo. Quando facciamo il dominio, oltre a porre l’argomento della radice maggiore di zero non dovremmo porlo anche diverso da zero ( essendo un denominatore )??? Grazie in anticipo
Ciao Albert,
io non riesco a capire il limite… come fa a tendere a uno?
Se raggruppo la x di ordine massimo sopra e sotto anche facendo con il modulo continua a venire infinito su infinito come fa a tendere a piu o meno 1??? o.o
Grazie mille
si ma la x sopra con quella al denominatore si semplificano…
Quando calcoliamo il limite, per il denominatore la x è elevata al quadrato, cioè quando mettiamo in evidenza viene (x (1 – 1/x))/(Ix^2I ( rad 1 + 1/x^2)) quindi quando semplifichiamo le x sopra abbiamo 1, mentre sotto essendo al quadrato rimane la x.
Per questo il limite al numeratore tenderà a 1, mentre al denominatore a inf e il risultato sarà 0.
ciao :) ma come fa a venire + o – 1? a me viene solo +1 perchè applicando de l’hopital viene 1 solo risultato
puoi spiegarmi i passaggi della deriva seconda??
Leggi il commento 10a, probabilmente è quello il tuo dubbio, perchè per il resto i passaggi ci sono… ciao!
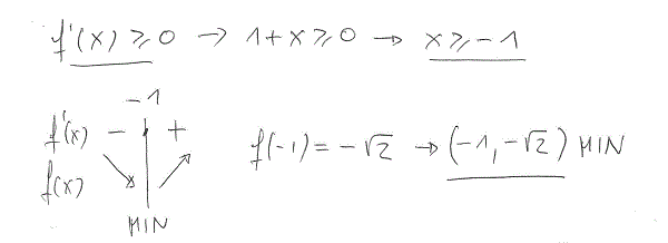
ciao albert non capisco come calcoli dopo la derivata prima il min e mass, grazie
La derivata prima è positiva quando è positivo il numeratore, perchè il denominatore è sempre positivo.
ciao albert stiamo impazzendo non riusciamo a capire come sia uscito il -5/2 nella derivata seconda .ci puoi rappresentare il procedimento passo per passo di tutta la derivata seconda gentilmente???attendiamo una tua risposta
grazie mille
Ho visto la derivata prima come prodotto (1+x)(x^2 +1)^(-3/2) e di conseguenza ho derivato questo prodotto.
perfetto! grazie!
ciao albert,complimenti per il sito!Non riesco a capire quando nella positivita’ va posto f(x)>=0 o strettamente maggiore di 0.che differenza c’è?…grazie,michele.
Non c’è una grossa differenza: se poni f(x)>=0 ritrovi anche le intersezioni con l’asse x (y=0 –> f(x)=0) già calcolate al punto 3.
In questo caso ritrovi il punto (1;0).
Una cosa sola: nella disequazione di secondo grado alla fine della derivata seconda, solo per pignoleria, tanto i flessi restano loro, ma non verrebbero risultati compresi fra le due radici?
Tu hai posto x>= di entrambe le radici…
Grazie
Si infatti…una dimenticanza: ho modificato, grazie!
Si semplifica quando fai il minimo comune denominatore che è
(x^2 +1)*rad(x^2 +1)
come hai fatto a mandar via la radice nella derivata prima??
Perchè così tutta la radice tende a 1 (come la parentesi al numeratore) e mi posso preoccupare solo del limite di x/|x| che tende a +-1
Ciao Albert.
Ho visto che nel limite hai portato fuori modx, scrivendo poi dentro radice 1/x^2 + 1. Puoi spiegarmi perché?
Ti ringrazio :)
Ciao Anonimo,
hai ragione, grazie, ho modificato!
nella derivata seconda , quando deriva la seconda parte non manca 2x? che sarebbe la derivata dell argomento della radice?