Scarica tutti i 101 studi in formato PDF e sostieni il progetto Matepratica con soli 3,99€: clicca qui per effettuare il pagamento, riceverai subito un link via mail dove poter scaricare uno Zip con tutti gli studi pubblicati sul sito in versione PDF. Per ulteriori info scrivi a info@matepratica.it
Scarica tutti i 101 studi in formato PDF e sostieni il progetto Matepratica con soli 3,99€: clicca qui per effettuare il pagamento, riceverai subito un link via mail dove poter scaricare uno Zip con tutti gli studi pubblicati sul sito in versione PDF. Per ulteriori info scrivi a info@matepratica.it



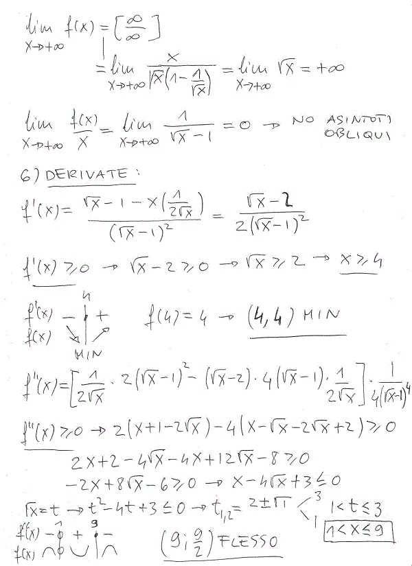
Vorrei sapere, nella derivata seconda, dove spariscono il denominatore ossia 2radx e la moltiplicazione finale ossia 1/4(radx-1)^4
Mi spieghi meglio la derivata?
salve, come mai quando si guarda se esiste l’asintoto obliquo, dopo aver verificato che f(x)/x è 0 affermate che non esiste? 0 non è accettato come coefficiente?
Salve potrebbe chiarirmi una cosa? In pratica a noi la prof per fare il grafico ci ha insegnato di trovare gli asintoti dunque non riesco capire il motivo per cui lei ha trovato la f’ e la f ”, ed il massimo e il minimo.. comunque tracciando il grafico come sono abituata a fare non riesco a capire perchè il suo per la x che tende a 1(meno) che torna (meno) infinito le parte dallo zero..potrebbe spiegarmi il perchè di questi miei dubbi..la ringrazio!
-Ho un dubbio forse mi mancano le basi della matematica.
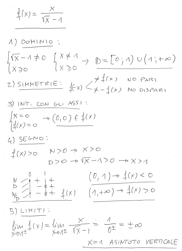
-Nella parte della derivata prima il risultato che mi viene e questo “(radice di x – 2)/2/(radice di x – 1)^2”.
-Ora per semplificare l’operazione do dei numeri dentro le parentesi quadrate:
“(radice di x – 2)[1]/2[2]/(radice di x – 1)^2[3]”.
Ora considerando i numeri nelle parentesi quadrate[] io trovo 1/2/3 il che mi da come risultato 3/2.
Ora sempre considerando i numeri nelle parentesi quadrate [] nell’esercizio svolto invece trovo 1/(2*3) che risulta 1/6 diverso dal mio 3/2. Come mai non è (1/2)*3?
La domanda è quindi come mai il risultato non è [(radice di x -2)[1]*(radice di x -1)^2[3]]/2[2]
mi dispiace, ma mi risulta difficile controllare i tuoi conti con tutti quei fratto…in generale ti consiglio di sostituire il fratto tra due frazioni con : così ti resta tutto in linea e poi trasformi il : in * rovesciando la frazione al denominatore
Come mai per calcolare la concavità della funzione viene posto f”(x) >= 0 e non solo > 0 come si fa di solito?
se f(k)=0 allora x=k è un flesso. In pratica ponendola anche uguale a zero trovi anche i flessi
Non ho capito bene cosa vuoi dire.. poi un’altra domanda.. come mai proprio 1<x<= 9 ? Non capisco il perchè di quell’= ..
Per x=9 la derivata si annulla (e di conseguenza hai un flesso), mentre per x=1 non esiste
Come fa a venire (4,4) il min?Io effettuando la sostituzione mi trovo 0 al numeratore..mi spieghi per favore?Grazie!
devi sostituire x=4 in f(x), non in f'(x)…
Salve non capisco la derivata prima! riconosco la formula che hai applicato ma non riesco a capire perchè non consideri il fatto che sia una irrazionale fratta? ovvero dovresti moltiplicare tutto quello che hai appena trovato prima del risultato finale per la derivata della radice ovvere uno fratto 2 che moltiplica la radice di x meno uno . poi non riesco a capire come ti viene quel risultato malgrado provando e riprovando, ad esempio dove prendi il numero “2” che si trova al denominatore del risultato finale della derivata prima?
Riguardo alla prima tua domanda ho risposto qui (commento 19a):
http://www.matepratica.info/2011/06/studio-di-funzioni-esercizio-9.html
Il 2 al denominatore è lo stesso 2 di 1/(2radx) che sta al numeratore. Ho fatto il “comune denominatore = 2radx” al numeratore e poi ho ridotto il tutto ad una unica frazione.
Salve potrebbe spiegarmi come si giunge a limite di x che tende a piu infinito di radice di x uguale a più infinito?
Grazie
Si raccoglie rad(x) al denominatore, come visualizzato nel passaggio precedente. La parentesi al denominatore tende a 1, e posso dividere x/rad(x)=rad(x)
giusto! grazie mille Albert.
è vero che anche per x=1 la funzione cambia concavità, ma è anche vero che in x=1 la funzione non esiste (vedi dominio), quindi x=1 NON può essere definito un punto di flesso perchè non appartiene alla funzione.
ciao, scusa ma..
perchè 9 è punto di flesso e 1 no? mi puoi spiegare che criterio usi?
grazie
Ciao Anonimo,
la derivata del numeratore è 1. La derivata del denominatore è 1/(2radx). Quindi, usando la formula della derivata di un quoziente, al numeratore otteniamo:
1*(radx -1) -x(1/(2radx))=
= radx -1 -(radx)/2=
= (radx -2)/2
Al denominatore abbiamo invece:
(radx-1)^2
Ed f'(x) è quella che vedi scritta nella soluzione…
perchè la derivata prima al numeratore esce radice x – 2 ??? non dovrebbe essere rad(x) – 1 – x ????
Ciao albert, non riesco a capire perché la derivata prima risulti rad x – 2 / (rad x -1)^2
Io arrivo al punto dove al numeratore ho rad x -1 – x/ 2radx
Sommo i termini simili pero non arrivo al tuo stesso risultato potresti postare tutti i passaggi per favore?