Scarica tutti i 101 studi in formato PDF e sostieni il progetto Matepratica con soli 3,99€: clicca qui per effettuare il pagamento, riceverai subito un link via mail dove poter scaricare uno Zip con tutti gli studi pubblicati sul sito in versione PDF. Per ulteriori info scrivi a info@matepratica.it
Scarica tutti i 101 studi in formato PDF e sostieni il progetto Matepratica con soli 3,99€: clicca qui per effettuare il pagamento, riceverai subito un link via mail dove poter scaricare uno Zip con tutti gli studi pubblicati sul sito in versione PDF. Per ulteriori info scrivi a info@matepratica.it



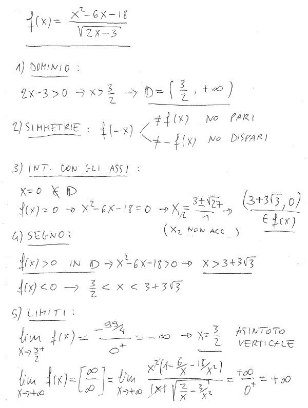
ciao Albert, non capisco cosa hai fatto nel punto 3. a me il delta viene 108… non capisco dove ho sbagliato…grazie mille
perchè tu usi delta e quindi: b^2 -4*a*c mentre lui usa delta quarti ossia: (b/2)^2 -a*c si usa quando b è pari
Inanzitutto complimenti per il blog ;) utilissimo.. avrei solo una domanda… Calcolando l’asintoto orizzontale, essendo al denominatore 2x-3 sotto radice, perchè cercando di risolvere la forma indeterminata diventa |x|(2x-3/x^2)^1/2? perchè la x diventa di grado secondo sotto radice? Grazie in anticipo :D
perchè ho deciso di raccogliere x^2 dentro la radice. potevi anche raccogliere solo la x…
Ciao albert, intanto complimenti e grazie per questo sito davvero molto utile e ben fatto.
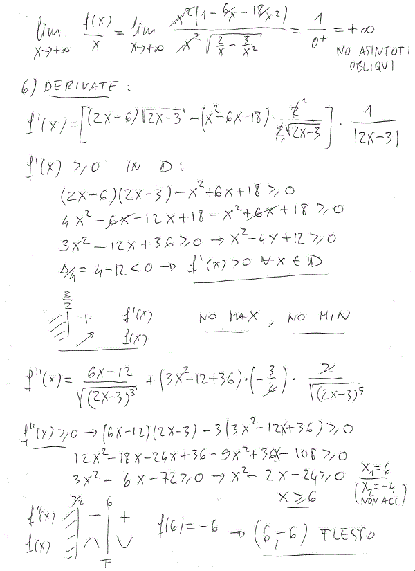
Ho letto il post precedente per il quale non puoi scrivere, giustamente, tutti i passaggi della derivata seconda.
Io ti voglio solo chiedere perchè nel prodotto della derivata prima, dove ci sta 1/|2x-3| poi nella derivata seconda spuntano le radici con radicandi elevati alla 3 o alla 5.
Grazie per la cortesia e la pazienza.
Perchè nella derivata prima hai sia il denominatore |2x-3| sia rad(2x-3) dentro la quadra
Ciao non capisco come fai a togliere la radice quadrata di (2x-3) nella derivata prima per poi moltiplicarlo tranquillamente per (2x-6).
Perchè nella parentesi quadra ho fatto il minimo comune denominatore rad(2x-3) (che poi nel passaggio successivo trascuro perchè sempre positivo nel dominio) ottenendo:
[(2x-6)rad(2x-3)rad(2x-3)-(x^2-6x-18)]=
=[(2x-6)(2x-3)-x^2+6x+18]
Ciao,
la tua domanda è pertinente, e la risposta è questa: perchè se non lo avessi fatto qualcuno avrebbe chiesto: “perchè non hai calcolato la simmetria?” :)
A parte gli scherzi, hai ragione: visto il dominio, si deduce subito che la funzione non è ne pari ne dispari.
Scusami,
inanzitutto grazie mille per tutto questo materiale che hai messo gentilmente a disposizione :)
volevo chiederti perchè avevi calcolato la simmetria avendo che il dominio si trova solo a destra?!
Digitare qui tutti i passaggi risulta troppo lungo, anche perchè dovrei mettere mille parentesi e ci impegherei un’ora… mi dispiace.
Ciao
mi potresti spiegare il ragionamento per calcolare la derivata seconda?,grazie mille in anticipo!