Scarica tutti i 101 studi in formato PDF e sostieni il progetto Matepratica con soli 3,99€: clicca qui per effettuare il pagamento, riceverai subito un link via mail dove poter scaricare uno Zip con tutti gli studi pubblicati sul sito in versione PDF. Per ulteriori info scrivi a info@matepratica.it
Scarica tutti i 101 studi in formato PDF e sostieni il progetto Matepratica con soli 3,99€: clicca qui per effettuare il pagamento, riceverai subito un link via mail dove poter scaricare uno Zip con tutti gli studi pubblicati sul sito in versione PDF. Per ulteriori info scrivi a info@matepratica.it



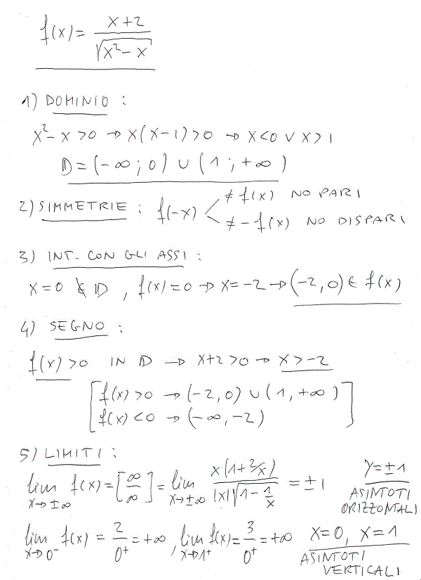
albertt ma c’è una sezione dedicata ai dominii???? io li sbaglio sempre sopratutto quelli con la radice… come posso fare???
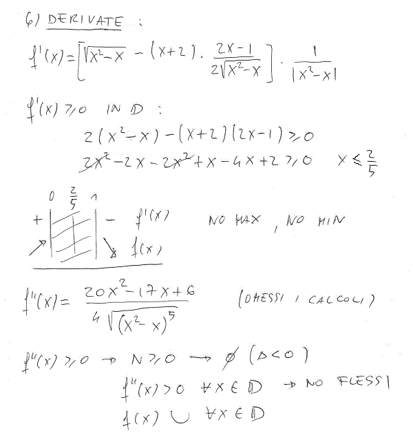
Ciao Albert, non riesco proprio a capire i calcoli che hai fatto dopo aver trovato la derivata prima. Ho provato con il mcm ma non riesco a capire lo stesso. spero tu possa aiutarmi.
grazie mille
Ma nel dominio non devi porre anche il denominatore diverso da 0?
Ciao ti volevo chiedere come sei passato dalla derivata prima a quello che c’e scritto dopo f(x) maggiore uguale di zero in D?? Non capisco :(
Dentro la parentesi quadra fai il comune denominatore, che è 2rad(x^2 -x). Il numeratore che ottieni è quello che vedi scritto dopo “f'(x)>=0 in D”, posto maggiore o uguale a zero.
Infatti f'(x)>=0 quando è positivo il numeratore sopracitato, visto che i due fattori del denominatore (2rad(x^2 -x) e |x^2 -x| sono entrambi positivi nel dominio).
La radice quadrata di un numero positivo (e il fatto che il radicando sia positivo me lo garantisce il dominio che ho già stabilito) è sempre positiva. Il denominatore è quindi sempre positivo, e il segno della funzione è determinato esclusivamente dal segno del numeratore.
albert ma nel calcolare il segno al denominatore la radice quadrata che fine fa?
x(x-1)>0 è una DISequazione:
F1>0 –> x>0
F2>0 –> x-1>0 –> x>1
– per x<0 F1 è negativo, e F2 anche, quindi il prodotto è POSITIVO
– per 01 F1 è positivo, e F2 anche, quindi il prodotto è POSITIVO
Tu vuoi che il prodotto F1*F2, ovvero x(x-1), sia positivo, quindi prendi x<0 e x>1
Se devo fare in modo che F1*F2 sia positivo, quindi, devo prendere x>0 e x-1>0 perchè così sono entrambi positivi… scusa la mia ignoranza, ma continuo a non capire perchè sia x<0
Inoltre non capisco perchè la derivata prima e seconda siano poste >= 0 e non solo > 0.. ringrazio in anticipo la risposta :)
Se devo fare in modo che F1*F2 sia positivo devo prendere entrambi positivi (sono d’accordo), ma anche entrambi negativi (infatti -*- fa +)
Le derivate sono poste anche uguali a zero perchè nei punti in cui si annullano trovo gli eventuali massimi, minimi, e flessi
Perchè nel dominio della funzione hai posto x<0 e non x>0? Sarà una domanda stupida ma proprio non ci arrivo =(
Ciao Anonimo,
Scusa ma non ho tempo di farti lo studio completo, però se hai qualche dubbio in particolare chiedi pure…
ciao..ho appena fatto l’esame di matematica…ho studiato grazie al suo sito, davvero molto utile! solo che stamattina quando ho visto la funzione…mi è venuto lo sconforto :) y=xradice di 3-x. Ho messo il radicando sempre maggiore uguale di 0. E ho fatto il dominio. Ma quella x davanti la radice mi ha messa fuori rotta. ti sarei grata se me la svolgessi, anche per capire se le mie intenzioni erano giuste. Grazie mille
Grazie. Sei molto gentile :)
Ciao Anonimo,
dammi del tu ! :)
al numeratore ho raccolto la x, al denominatore ho raccolto la x^2 dentro la radice, e poi l’ho portata fuori (e diventa quindi modulo di x)…poi non è più una forma indeterminata e basta sostituire +-inf
*volevo dire “potrebbe”
scusi, mi potresti spiegare perche il limite per x che tende +- inf fa +- 1? non ho capito i passaggi
:(. Grazie
Ti ringrazio, caro Francesco.
Ho corretto l’errore che mi hai segnalato, grazie ancora.
Alberto
Sai come si calcola la derivata di una funzione irrazionale SOLO al numeratore?
Salve, sono uno studente alle prese con un esame di analisi. Le scrivo per ringraziarla per il grande aiuto che il suo sito mi sta dando. Ne approfitto per avvisare di un piccolo errore che ho trovato sull’esercizio corrente: sullo studio del segno della derivata prima dovrebbe essere x<2/5 anzichè x>2/5 altrimenti il segno della derivata prima e quindi la crescenza e decrescenza della f(x) è in contraddizione con il suo grafico finale. Grazie ancora per tutto i suo supporto che ci dà a noi studenti. Cordialmente mi consideri un amico. Francesco
Salve, sono uno studente alle prese con un esame di analisi. Le scrivo per ringraziarla per il grande aiuto che il suo sito mi sta dando. Ne approfitto per avvisare di un piccolo errore che ho trovato sull’esercizio corrente: sullo studio del segno della derivata prima dovrebbe essere x<2/5 anzichè x>2/5 altrimenti il segno della derivata prima e quindi la crescenza e decrescenza della f(x) è in contraddizione con il suo grafico finale. Grazie ancora per tutto i suo supporto che ci dà a noi studenti. Cordialmente mi consideri un amico. Francesco